自2020年DeFi?Summer以来,稳定币得到爆发式的增长。据Coingecko数据显示,市值前十的加密货币中有3个稳定币项目,分别为USDT、USDC、BUSD,这些稳定币项目近两年的市值增幅都超过5倍。

图片来自defillama
稳定币是DeFi生态系统中不可或缺的部分,其种类主要包括据法定货币抵押的稳定币、加密货币抵押的稳定币和算法稳定币。无论是哪一种稳定币,都能为DeFi玩家提供不可替代的价值,主要体现在流动性挖矿、利润结算、跨链转换等相关活动。因此,稳定币兑换是DeFi用户的刚性需求,而且稳定币兑换市场将变得越来越大。
稳定币交易所主要服务的对象是做市商和交易者,其核心竞争力是滑点和流动池深度。对于稳定币兑换者来说,交易的前提是流动池中的稳定币价格保持锚定,以及在锚定价格点的拥有极佳的低滑点兑换深度。只有保证这两点,稳定币交易所才能取得用户的信任,也是稳定币能够进行后续的场景和用户拓展的前提。
Curve是稳定币交易赛道里的龙头协议,以低滑点和优异的交易深度而闻名,其锁仓资金量长期保持在所有DeFi协议前三的位置。市场上的新生代稳定币兑换市场大部分属于?Curve的分叉版本,没有更多的创新和改善。面对市场上日益增多的稳定币兑换需求,这些DEX面临很多挑战。比如复杂的流动池设计、资本效率低、可扩展的限制等。
WombatExchange?作为新兴的稳定币兑换协议,旨在为用户带来更高的资本效率以推动DeFi的发展。本文通过对比Wombat与Curve、Ellipsis、Platypus等稳定币交易所的不同之处,详细分析了Wombat的机制、数据、算法等方面的优势和不足。

ETH 2.0总质押数已超2751.54万:金色财经报道,数据显示,ETH 2.0总质押数已超2751.54万,为27515438个,按当前市场价格,价值约508.95亿美元。此外,目前ETH 2.0质押总地址数已超90.77万,为907672个。[2023/8/14 16:24:09]
Wombat?介绍
WombatExchange是一个基于BNBChain的稳定兑换协议,通过消除稳定币流动池的孤岛效应进而提高资本效率,并且将覆盖率引入稳定交换机制以解决可扩展性难题,具有低滑点、单一LP质押、多链兑换等特点。
对于稳定币交易所而言,锁仓资金量直接影响到兑换时的滑点,是极为重要的指标。Curve上的USD稳定币锁仓量高达2.9亿美元,流动池也有?29个,这得益于Curve是最早专注于稳定币兑换的协议,同时,Curve的质押模式和生态扩张策略也是关键因素。
Ellipsisfinance是获得Curve允许的BNBChain分叉版本,目前主要的稳定币兑换池3EPS、val3EPS的TVL为5800万美元左右。基于Avalanche的兑换协议PlatypusFinance也是稳定币兑换赛道的挑战者,吸收了2.68亿美元的稳定币锁仓量,共有5个单边流动池。
相比之下,WombatExchange目前只有DAI、USDC、BUSD、USDT4个单边流动池,锁仓量总共有4000万美元,已经成功超越了其他BNBChain链上DEX项目,包括?Dodo以及AcryptoS。锁仓量没有爆发的原因是Wombat处于?Beta版本测试阶段,已经达到存款上限,后期完全开放之后锁仓量可能得到大幅提升。

Wombat主要通过4个方面的创新来吸引用户:
更大限度地利用资本:Wombat的开放式流动性池设计将流动性聚合到一个共享池中,通过覆盖率进行错综复杂的平衡,从而提供更高的资本效率。
Hashflow将向符合条件的用户提供补偿,用户需在7月1日前提交支持票:6月16日消息,去中心化交易协议Hashflow发推称,将向符合条件的用户提供补偿,符合条件的用户需在北京时间7月1日08:00前在Discord提交一张支持票。符合条件的用户包括:(1)钱包在北京时间6月14日23:13至6月15日03:38期间被白帽事件所影响;(2)在Hashflow于6月15日03:38公布恢复指南前,曾试图恢复资金;(3)已按照恢复资金指南撤销对弃用合约的所有津贴。[2023/6/16 21:42:46]
更小化滑点率:Wombat使用资产负债模型并在更高的交易金额之前消除滑点,并在发生滑点时减少滑点。
提高可扩展性:Wombat灵活的流动性池允许使用单一代币进行质押,从而促进流动性增长,而无需复杂的操作。
简单的UI设计:Wombat通过直观的UI帮助用户在各种区块链上交换代币并赚取任何稳定币的利息,对用户更加友好。

核心机制
Wombat通过设计共享流动池、算法创新和平衡覆盖率来实现创新性的功能。
1、共享流动池
流动性和滑点成反比。流动池的深度越大,滑点越低,因为即使在更大的交易量下,池也能够保持更接近平衡。考虑到这个逻辑,Wombat设计了共享流动池。
流行的稳定互换中流动性池的结构:

Curve和Ellipsis在设计上隔离了流动资金池,这使得同一种稳定币USDT在不同的池子中,具有不同的流动性深度和滑点率。相比于传统银行的外汇业务,银行不会将美元、欧元、澳元等分开,因为这样做会使资金非常低效,只有把资金汇集在一起??才能获得最佳滑点和流动性。这个流程与Wombat构建稳定币流动性池的方式相同,Wombat共享流动资金池在设计上的交易深度更好,最终为用户大幅减少交易滑点。
Solana NFT上线Instagram和Facebook:11月5日消息,Solana宣布,Instagram和Facebook已与Solana区块链集成,以允许用户展示他们的NFT。[2022/11/6 12:21:26]

除了隔离流动性之外,Curve和Ellipsis也无法有效地维持各个稳定币组份的均衡,每一次的稳定币兑换都在打破流动池平衡。因此,将流动池建立在任何单一代币对之间只会适得其反。
2、平衡覆盖率
覆盖率是传统金融中常见的概念,用于描述一家公司利用其资产去覆盖负债的能力。以?Wombat为例,每个稳定币都是一家公司,每个币种都有自己的覆盖率。我们可以把覆盖率当作Wombat流动池的健康指标。覆盖率越高,意味着资产比负债多,即违约风险较低。
示例:BUSD流动池有1000BUSD的初始资产。用户存入了200BUSD,接着把400BUSD兑换成USDT。

由于?Wombat收到200BUSD的存款,并同时亏欠存款人200BUSD,所以BUSD的资产和负债将有相同金额的增加,而覆盖率则保持不变。
进行代币兑换时,USDT的资产增加了400,而BUSD的资产减少了400,导致USDT的覆盖率增加,而BUSD的覆盖率下降。
维持流动池的平衡状态是Wombat的核心目标。由于Wombat的资产负债管理设计仍存在提款套利空间,为了不让套利者耗尽流动池的资金,团队设计了额外的奖励制度:只要用户让流动池恢复平衡状态,便可以获得存款收益。此外,团队还增设了提款费用,更大程度上避免提款套利事件的发生。如此一来,除非流动池遇到了严重的失衡,否则池子的资产将不会受到影响。
比特币全网未确认交易数量为1295笔:金色财经报道,BTC.com数据显示,目前比特币全网未确认交易数量为1295笔,全网算力为256.70 EH/s,24小时交易速率为3.18交易/s,目前全网难度为31.36 T,预测下次难度上调9.34%至34.29 T,距离调整还剩2天23小时。[2022/10/7 18:41:57]
Wombat还会通过平衡覆盖率(ECR)保护用户资产。平衡覆盖率是所有流动池的总覆盖率,负责监察协议的运作,并且进行风控。假如出现黑天鹅事件,系统只会终止受影响池子的运作。以USDT为例,假若出现脱锚危机,用户只能够提取之前存入的USDT,而不能把USDT兑换到别的币种,但BUSD、USDC和DAI的池子会保持正常运作。
3、算法创新
区块链领域赋予了AMM新的应用场景,可以把这一类AMM称为「常数函数做市商」,即CFMM。相比Uniswap,Curve偏向于稳定??币的兑换,因此引入了不变量算法,使其CFMM算法使得其更能咬合贴近直线,从而在较大的价格区间内能够保证更低的滑点,同时也能保持流动池良好的流动性。


因此,在构建稳定币交易所时,大多数DEX都是引用Curve算法。Platypus采用了单变量函数,虽然已经对原有的Curve算法时进行了创新,但它仍然有一些限制。Wombat整合了Platypus的优势,不仅是为了满足当前的需求,而且是为未来得多链扩张铺平道路。

Roger Ver本周末将就其与CoinFLEX的4700万美元债务纠纷发表声明:7月1日消息,Bitcoin com创始人Roger Ver表示,他将在周一之前发布一份官方声明,回应有关其欠CoinFLEX价值4700万美元USDC的指控。Roger Ver的行政助理Mickey Amami称,声明将在本周末发布。Ver拒绝就声明的细节置评,但表示与自己周三上午发布的一条推文立场一致。
此前消息,加密交易所CoinFLEX首席执行官Mark Lamb发推表示,Bitcoin com创始人Roger Ver欠CoinFLEX价值4700万美元的USDC。Lamb称,我们与Roger Ver签订了书面合同,要求他亲自担保其CoinFLEX账户的任何负资产并定期补足保证金。但他其违反了本协议,CoinFLEX已向Roger Ver发出违约通知。
Roger Ver在推特上对此进行了回应,称其拖欠债务是谣言。Roger Ver称:“我不仅没有欠这个交易对手一笔债务,而且这个交易对手还欠我一大笔钱,我现在正在要求返还我的资金。 (Forkast)[2022/7/1 1:44:17]

如果考虑到稳定币兑换时的精准度,单变量函数无法准确计算用户需要存入多少稳定币。这就像用户想要将美元兑换成89英镑,而交易所无法准确给出用户应该支付多少美元。
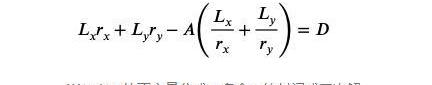
Wombat倾向于提供更精准的数值,避免稳定交换预估的近似值偏差,通过创新算法提供这种准确性。Wombat的不变函数使用高效且可扩展的封闭式二次解法:
CSMM的平衡—放大因子*(Δ?+Δ?)=不变量的平衡
Wombat通过使用放大因子,将不变量公式中代币?x和代币y的流动性水平的变化最小化,以达到或尽可能接近平衡凭借更准确不变量的算法,?Wombat能够适应不同的公链,成为CurveFinance的潜在挑战者。Wombat的不变量算法的预估效果在下图中以绿色绘制,用于与其他稳定币交易所进行比较。

同时,Wombat通过把覆盖率引入CSMM和不变量算法,相对于同行竞争者,滑点损失可减少40%。下图x轴代表用户的兑换金额,y轴代表滑点百分比,可以观察到Wombat在较高兑换金额下的滑点变化情况,如下图中蓝色、橙色两条线与x轴的背离如果放大分歧点,Wombat的抗滑性会变得更加明显。

代币经济学
Wombat的原生代币是基于BNBChain发行的WOM,发行总量为10亿枚,具有以下用途:
治理:WOM代币持有人能够参与决策治理,并拥有投票权利。
流动性奖励:通过向池子为稳定币提供流动性来赚取WOM代币作为奖励。
收益加速:用户可以直接锁定WOM代币获得veWOM,提高质押稳定币的奖励
类似于Curve的ve代币模型,Wombat还推出了veWOM作为投票托管代币,可以提高质押稳定币的奖励:
用户可以锁定WOM代币,铸造为期7天到4年的veWOM。
用户可以设置多个WOM锁仓条件,包括资金池位置和锁定周期等等,最高支持10000个不同的锁仓位置。
veWOM无法被转移或交易。
锁仓期过后,用户可以领回WOM,同时相应的veWOM将被销毁。
团队将在不久后发布更加具体的代币分配方案,具体日期请关注官方渠道。
团队和融资情况
Wombat的创始团队都有深厚的区块链和金融行业背景:
创始人AlexLee是量化交易员和区块链工程师,在加密货币、项目管理和投资组合管理方面拥有丰富经验。
首席技术官DanielChan是加密货币的早期支持者和区块链工程师,拥有DeFi、银行和社会企业的创业背景。
首席营销官RaymondWong在加密货币和传统金融领域拥有多年经验的营销专家,擅长从项目的运营和扩展。
此外,PlatypusFinance创始人MrDuckbill作为该项目的顾问。
2021年11月Wombat完成由BinanceLabs投资的种子轮融资,2022年3月以7000万美元估值完成由AnimocaBrands及HailstoneVentures领投的525万美元融资,紧接着在4月完成由ShimaCapital领投,JumpCrypto及Wormhole参投的战略轮融资。
发展历程
Wombat在2021年11月份加入币安孵化计划,并且因为Wombat属于高级DeFi乐高积木类别,被选入币安链的最有价值建设者计划MVBIV,并荣获?2022年1月项目之星。
3月21日,Wombat推出测试网,并启动漏洞赏金计划,为提交智能合约漏洞的用户提供最高100,000美元的奖金。值得一提的是,Wombat对非常重视协议的安全性,此后还推出了Immunefi漏洞赏金计划,最高奖金高达500,000美元。目前,Wombat获得包括Hacken、Zokyo和Peckshield的安全审计报告。
Wombat采用逐步开放流动池存款的方案,以保证协议内资金的安全。4月25日,Wombat推出Beta版本,仅开放2000万美元的流动性存款额度,30分钟内流动池便达到上限。5月19日团队将Beta版本存款上限提高至4000万美元。
此外,Wombat还推出了贡献者计划,并举办了很多次社区活动,包括艺术比赛、Meme比赛等等。
总结
本文通过对比市场上知名的稳定币交易所,可以发现Wombat在运营模式、资金锁仓量和交易算法等方面都有不错的表现。
Wombat的开放式流动池在理论上可以大幅度提高稳定币流动池的深度,进而提高资金利用率的效率,但是目前流动池的组成币种只能通过官方审核,没有形成社区投票的DAO组织形式,从这个角度来看该协议还没有达到完全的去中心化。
在安全性方面,开放式流动池让所有资金都处于共享状态,会导致整个资金池的风险增加。为了解决这个问题,Wombat采用ECR管理池子平衡,同时也有着存款收益/提款费用的机制去鼓励用户保护资金池的安全。对于一些风险较高的币种,团队会创建子池来分隔风险,主池只存在?BUSDUSDCUSDT及DAI。?总而言之,Wombat设置了三重保护措施让资金池始终处于安全可控状态。
此外,降低交易滑点是每一个交易所的核心目标。目前Wombat的资金锁仓量受到4000万美元上限的限制,需要在完全解除限制的时候才能检验Wombat的创新算法在稳定币兑换时对交易滑点的作用。
放眼未来,?Wombat的孵化计划鼓励其他项目在Wombat之上建立属于自己的生态系统。对于开发者,Wombat可以帮助协议提高资本效率、增加TVL。对于veWOM持有用户而言,将有机会拿到新项目空投、白名单、优先参与权甚至是孵化项目的早期机会。
无论如何,Wombat在得到BinanceLabs和AnimocaBrands融资后正在打磨产品的各个细节,包括各项链上功能、用户社区和媒体文章等方面。AnimocaBrands联合创始人YatSiu表示,WombatExchange组建了一个坚韧且经验丰富的团队来开发一个推动DeFi增长的稳定币交换协议。我们期待看到Wombat对BNB链及其在多链世界中的采用做出有意义的贡献。
标签:WOMBATWOMBAT稳定币Women Empowerment TokenWombat Exchangewombat币资料香港推出稳定币是真的吗知乎
原标题:《FlavorsofStandaloneMultichainArchitecture》原作者:ShanavKMehta,JumpCrypto编译:郭倩雯,链捕手概述长期以来.
1900/1/1 0:00:00作者:胡韬,链捕手在近期的加密市场大崩盘中,加密借贷平台Celsius是公认的最重要导火索之一,如今被普遍认为资不抵债、濒临破产.
1900/1/1 0:00:00作者:Leonardo原文标题:《Designingforweb3:thoughtsfromfirstprinciples》编译:老雅痞在推特上每天都有很多关于这个建立在所有权和去中心化前提下的.
1900/1/1 0:00:00作者:胡韬、饼干,链捕手4月27日,以太坊扩容解决方案Optimism正式宣布将发行代币OP,并将代币总量的5%空投给多次使用Optimism的用户和以太坊主网活跃用户.
1900/1/1 0:00:00链捕手消息,北京法院审判信息网近日披露了一份刑事诉讼案件判决文书,2020年10月16日,凌某胜、凌某瑞因通过技术手段侵计算机信息系统盗取某数字资产交易平台账户内虚拟货币共计泰达币620000个.
1900/1/1 0:00:00整理:麟奇,链捕手“过去24小时都发生了哪些重要事件”?1、Web3风投机构IOBCCapital成立5000万美元风投基金.
1900/1/1 0:00:00