作者:DeltaFund
编译:PANews
2021年对区块链来说是非凡的一年。加密货币市值超过3万亿美元。NFT越来越受欢迎,交易量超过230亿美元。美国推出首只比特币期货ETF。萨尔瓦多将比特币作为法币。以太坊改变了收费方式。DeFi总锁仓价值(TVL)超过2000亿美元,同比增长了7倍。许多新链也在这一年诞生,区块链钱包用户增至7000万。
近期加密货币被用作一种对抗监管的跨境汇款方式。乌克兰战争爆发后,尽管加密市场最初受到重创,但现在已反弹至之前水平。自战争开始以来,乌克兰军队不断收到加密货币捐款。而在加拿大卡车司机抗议活动中,抗议者在被GoFundMe等传统众筹渠道屏蔽后,收到了加密货币捐款。人们未来可以使用加密货币为慈善事业捐款,这是传统金融基础设施无法实现的。

加密货币采用的大量增加有利于区块链生态系统多个领域的发展,包括区块链基础设施的改进、区块链应用程序的开发、更主流且对开发人员友好的编程语言的采用以及监管和机构采用的增加。该报告分析了2022年区块链的主要趋势。
区块链领域的改进
2022年,随着新Layer1(L1)区块链的引入,以及共识协议、交易成本、交易时间和代币经济的改进,预计区块链领域将获得进一步的发展。与此同时,Layer2(L2)解决方案也有望取得进步,这将进一步提高现有L1解决方案的可伸缩性,更加关注桥接解决方案的开发,用户进行跨链转账将更为简便,从而实现多链化未来。对可拓展性的关注,即以更快速度处理更多交易的能力,将决定谁会在L1和L2解决方案角逐中获胜。
一:多链互操作性解决方案的兴起
2021年出现了多个L1区块链和L2解决方案,对跨链流动性的需求一方面成为区块链被广泛采用的明显瓶颈,但这也提供了重要的发展机遇。
从2017年到2021年,几个旨在提高交易速度并降低成本的L1和L2解决方案相继问世,其中最知名的区块链包括Polygon、Avalanche、Optimism、Terra和Solana。这些区块链利用智能合约功能,吸引了开发人员构建多个开源金融应用程序和游戏等。

为了利用不同区块链的独特特征,如交易成本和等待时间,并使投资回报最大化,跨链转账能力变得至关重要。
目前存在一种趋势,即去中心化交易所(DEX)聚合器,比如Paraswap,通过跨DEX交换帮助用户获得最优价格,开始与跨链桥集成,不仅允许用户交换同一个区块链上的代币,还允许用户跨链交换代币。
对于未在多个链上部署的应用程序,有一些跨链解决方案可以解决这些问题,如SymbiosisFinance、Multichain或Atlasdex。Multichain是一种跨链代币转移协议,已经跨几个链吸引了超过77亿美元的总锁仓,有助于促进跨链转移和本地交换。
一些最知名的DeFi应用,如Aave、Curve和Uniswap等,最初只部署在以太坊区块链上,但现在已经在多个区块链上部署。这意味着,用户不必为了与特定应用程序交互而在其他区块链之间转移流动性。
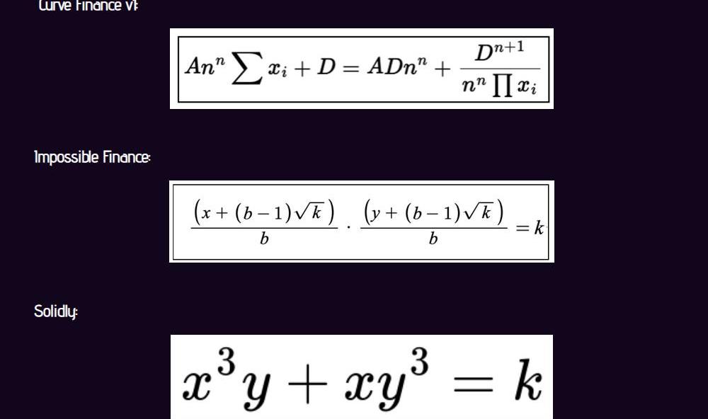
二:DEX用户体验和资金配置效率的改善
今年,去中心化交易所(DEXs)的用户体验在易用性和资本效率方面讲有所改善。
DEX的底层算法将变得更加复杂。Uniswap遵循一个简单的定价算法x*y=k(常数乘积公式)。其中x和y是组成流动性池的两种代币的各自数量。虽然这很容易理解,但它对类似资产的交易有相对较大的价格影响,从而导致亏损。
韩媒:Delio在暂停存取款前将持有的707万美元虚拟资产全部转移,暂不清楚转移背景和目的:7月5日消息,韩国加密金融公司Delio在6月14日停止存取款前将持有的价值92亿韩元(约合707万美元)的虚拟资产全部转移。不过对于Delio在停止存取款之前转移全部虚拟资产的背景和目的,只能通过检察机关的强制调查来确认。
Delio代表曾在停止取款后表示,客户虚拟资产提款、财务欺诈、利用职员个人名义进行套现等社区传闻不实。[2023/7/5 22:18:15]
许多新的DEX对算法/曲线进行了改进,使其更加复杂但也更为高效。一些著名的例子包括:

这些算法寻求降低对交易的价格影响,即当用户将一个代币交换为另一个代币时,代币X相对于代币Y价值的波动较小。这些新的转换算法允许小额交易的价格可以保持在更稳定的水平(大约在1左右),确保价格影响较小,同时允许创建更小的流动性池。
许多DEX都采用了订单簿模型。Uniswapv3已经将经典的自动做市商(AMM)模型转变为一种更接近于订单簿的模型,流动性供应商能够将其流动性限制在特定的价格范围内。这被称为集中流动性。
dYdX是一种采用订单簿模型的新型DEX。dYdX的总锁仓价值正在迅速上升(2021年11月为11亿美元),并且交易量已经接近Uniswap的水平(Uniswap的日交易量约为13亿美元,而dYdX的日交易量约为9.5亿美元)。然而,Uniswap的营收仍远高于dYdX,其日内最高营收达到1770万美元,而dYdX的日内最高营收仅为680万美元。Sushiswap计划在未来推出一款类似产品,而更多DEX很可能也会效仿。

为改善用户体验,DEX领域也做出了其他一些改进,如单边流动性部署、非永久性亏损保险、批处理和交易净额、限价订单、杠杆交易和采用L2解决方案。
三:L2上DeFi的采用增加
截至2021年12月31日,各种去中心化应用的资产已超过2410亿美元。借贷协议,如MakerDAO、Aave、Curve和AnchorProtocol居于领先地位,约占总锁仓价值(TVL)的25%。截至2021年12月31日,像Uniswap、PancakeSwap、spookswap、Serum等去中心化交易所也创造了130亿美元的TVL。
除了L1区块链TVL实现迅速增长,得益于流动性挖矿的高收益,自2021年上半年以来,L2解决方案的TVL也显著增加,其中的佼佼者为Polygon,其TVL迅速从1亿美元上升至最高峰的80亿美元。Arbitrum、Optimism和更多L2解决方案在2021年下半年发布,并获得了DeFi参与者和开发者社区的大量关注。

随着越来越多市场参与者进入数字资产世界,并参与新应用程序的开发,DeFi领域正迅速变得拥挤,导致交易成本增加和交易速度降低。随着区块链的参与者越来越多,这些问题将继续恶化,主要的L1区块链将迅速饱和。因此,大多数L1区块链的gas费用将会上涨。

Gas费用的高波动和延迟将导致交易滑点,而这也将成为以太坊的一个永恒难题,因此越来越多的人将大量资产转移到不同的层。
L2解决方案和侧链的出现不仅提高了交易速度,还节省了gas费用,DeFi领域的发展将更为强劲。到2022年,预计会有更多的DeFi应用程序采用L2解决方案。L2解决方案(如Arbitrum、Optimism和Boba)TVL的增加有力地证明了社区已经开始接受rollup。
加密硬件钱包Trezor已接管其旗舰Model T 硬件钱包产品的硅芯片生产:金色财经报道,加密硬件钱包 Trezor?表示,通过促进其关键组件芯片包装器的制造,控制了其旗舰 Model T 产品的硅芯片生产。此举通过消除整个复杂制造供应链中对第三方的依赖,优化了 T 型设备的生产。Trezor 表示,通过控制芯片生产过程,它提高了设备 安全性,并将交货时间从两年缩短到几个月。[2023/2/27 12:32:23]
随着交易速度提升、费用降低以及OptimismV2等创新,将L1智能合约部署至L2的过程将得以简化,因此可以充分相信在不久的未来,所有主要的代币都将推出L2版本,而桥接将确保它们能够有效地在不同层之间移动。
除了区块链基础设施的主要发展,多个区块链应用程序也在2021年呈现了巨大繁荣,并将在2022年继续增长。下面将详细阐述这些应用。
四:“NFT-Fi”将定义2022年
多个平台的NFT交易额已超过230亿美元,其中OpenSea占据领先地位。2021年第三季度NFT的交易量超过100亿美元,几乎占2021年NFT总交易量的一半。
借贷/担保NFT技术将主导该领域,并将与代币交换市场竞争。2021年,NFT进入公众视野,并对艺术界产生了重大影响,还获得了主流的认可。到2022年,NFT可能会延续这一趋势。Swap.Kiwi等公司允许在托管账户中与其他各方直接交换NFT。NFT不仅可以将资产代币化,还可以将头寸代币化。
例如,大型机构可以将其在流动性池中的现有头寸创建代币,无需先平仓便可进行互换,然后交易这些资产。此外,TakerProtocol等公司正允许用户使用NFT作为抵押来借钱,使NFT持有者能够获得流动性。
2021年,75%的NFT交易是在以太坊上进行的。到2022年,NFT交易可能会转移到其他L1和L2链,包括Ronin、Flow、Immutable和Solana。允许NFT跨链转移的多链解决方案将重新定义该领域。自Solana及其NFT交易市场于2021年下半年推出以来,Solana的NFT总交易额已超过13亿美元,其中SolanArt处于领先地位。与此同时,Polygon已经完成超过4.8亿美元的NFT交易,其中4.13亿美元来自OpenSea,这主要得益于用户能够通过OpenSea平台直接在Polygon发布NFT。
NFT在游戏中的应用将是另一个重点。游戏道具的交易将催生多种商业模式,如强调道具性能、稀缺性和实用性的链上分析。
NFT应用于DeFi的一些例子包括:
UniswapV3中的流动性提供者头寸由NFT表示,因为它们是不可替代的。
NFT平台UbisoftQuartz允许人们使用加密货币购买稀缺的数字产品。
加州大学伯克利分校拍卖了两项诺贝尔奖发明专利的NFT:CRISPR-Cas9基因编辑和癌症免疫疗法
NFT作为参与独家活动的门票
艺术家向粉丝出售音乐流媒体版权,并允许粉丝分享流媒体版权
五:加强对安全的关注
2021年,共有140亿美元的加密货币被盗,再次创历史新高。而DeFi平台总共被盗22亿美元。这个数字令人担忧,并且可能会阻止机构参与链上协议。
中心化市场Crypto.com和Wormhole协议都成为了黑客的最新目标。据Crypto.com披露,2022年1月17日,约有价值3000万美元的比特币和以太坊被盗,大约500名用户的账户被攻击。Wormhole协议允许用户在以太坊和Solana区块链之间转移资产,该协议于2022年2月2日遭到黑客攻击,损失约3.2亿美元。这些黑客攻击事件表明,数字资产平台在被更广泛的采用之前,还有很多工作要做。
由于加密项目的开源性质,白帽黑客将在保护生态系统方面发挥重要作用。在ETHDenver2022年大会上,白帽黑客JayFreeman发现了L2解决方案Optimism代码的一个关键漏洞,他强调了漏洞奖励对于激励白帽黑客和抑制恶意黑客的重要性,有利于提高整个系统的安全性。
分析 | Delphi Digital:比特币数月来表现优异,加冕“资产类别之王”:据TNW消息,鉴于比特币最近数月的优秀表现,分析公司Delphi Digital在最近的市场评论中将其称为“资产类别之王”。Delphi Digital连续四个月对比特币的收益回报进行了评估,此时正值传统风险资产继续面临抛售压力之际。该公司表示,\"鉴于许多其他资产类别普遍疲弱,比特币5月的优异表现尤为重要。” Delphi Digital进一步解释长,目前的公共股票市场令人担忧,数据显示,比特币今年彻底压制了其他资产类别,包括日元、黄金和WTI原油。与其近期的历史相反,比特币目前基本上没有受到其他风险资产抛售的影响,尽管市场波动预期正趋于上升。现在宣布胜利还为时过早,但BTC的不相关特性迄今已被证明是正确的。[2019/6/4]
白帽黑客积极参与寻找漏洞,公开联系团队,或攻击平台并返还资金。在2021年8月PolyNetwork的6亿美元黑客事件中,白帽黑客将资金返还给了项目团队,并随后接受了该项目提供的一份工作。
随着加密货币的普及,将不可避免。例如,一些无聊猿(BAYC)持有者被诱以低价出售了他们持有的BAYC,因此加强用户在网络安全和区块链操作安全方面的教育变得至关重要。
随着更多资金被部署到DeFi协议上,安全审计必须引起重视。随着更多DeFi创新的产生,更多漏洞将被发现,这将反过来推动安全方面的创新。随着监管要求趋于严格,链上安全将引发更大关注。
六:创新DeFi和质押协议的开发
DeFi
2021年,UniswapV3的做市商赚取了2亿美元的佣金,并遭受了2.6亿美元的暂时性亏损,其中净亏损6000万美元,占佣金收入的30%。为巨大的暂时性损失(由于代币的波动性而造成的损失)寻找解决方案将成为2022年的重点。
在Univ3中管理LP头寸比UniV2复杂得多,算法将根据链上和链外的不同数据点调整流动性范围。对精确索引协议的需求也将增加。像Chainlink这样的协议也将被更多使用,并面临更多竞争。为减少暂时性损失,将建立更多解决方案。
虽然在2021年,NFT和元宇宙受到了大量关注。到2022年,市场对DeFi领域新协议的兴趣将重新点燃。更传统的金融应用,如利率掉期、期货、对冲基金和保险将在区块链上推出。全新的协议也将出现。
许多新项目将从Curve的代币经济以及它帮助Convex和Votium等协议演进的方式中获得灵感。Curve的代币经济允许用户投票决定哪个池子获得CRV奖励(利息)。
根据目前的使用趋势,以太坊主网将变得更加昂贵,这将进一步提高主网的使用门槛,而L2对新手则更为有利。最终,只有鲸鱼和专业交易者才能使用以太坊主网。
甚至新的DeFi协议也更适合专业人士使用。例如,集中的流动性对做市商确实有好处,但对散户交易者则并不友好,因为他们的利润会因为额外的交易费用而大幅下降。
质押
新的流动性质押协议将推出,允许人们在不同的区块链和项目中质押代币,然后使用这些质押代币的衍生品(称为流动性质押代币)参与DeFi。这些流动性质押代币将由当前持有和锁仓的代币支持。
例如,ETH-merge将使用质押证明(PoS)的方法来验证以太坊交易。人们会开始使用stETH等流动性质押代币来持续赚取利息,目前年化收益率为4.4%左右。
七:DAO的崛起
去中心化自治组织(DAO)与传统组织类似,不同之处是DAO的管理规则由智能合约编写和执行,并且DAO的所有交易对区块链上的任何人都是公开可见。DAO已经获得了巨大的关注,他们通过融资来购买高价商品,比如足球和高尔夫俱乐部,甚至是美国宪法的13份原件之一。
到2022年,DAO将证明可以集体构建更多的业务模型,比如TreasureDAO。这是Arbitrum上一个成功的NFT市场,专注于收益平等分配和社区所有权。在新的一年里,随着BitDAO持有的流动资金超过25亿美元,DAO资金管理将变得比以往任何时候都更加重要。
声音 | Deltec董事长:Tether所发信函为真:据CoinDesk报道,Deltec银行董事长Jean Chalopin上周六向CoinDesk发送后续消息时写到:“Tether发布的信函是真实的。”此前,Tether于11月1日公布了一封来自Deltec银行的信函,表明其10月31日在该行的余额超过18亿美元。Deltec银行董事长Jean Chalopin曾向CoinDesk分享了这封信的链接,并称“Tether发布了一个公告,我想确保你看到它。”但他当时没有明确证实。[2018/11/6]
BitDAO变成了一个MasterDAO,构建社区,购买世界多个DAO的少数或多数股权。BitDAO与世界知名大学合作,组成eduDAO,用于推动研究、发放项目资助和开发新产品。
DAO还将更广泛地用于捐赠,旨在支持乌克兰的UkraineDAO已获得大量捐款,而旨在为朱利安·阿桑奇法律费用筹资的AssangeDAO已经筹集到750万美元。
与此同时,更多科技公司将转向去中心化组织,其中不仅包括小型公司,还将包括大型公司。Shapeshift等公司已成功实现从中心化实体转变为去中心化实体,并将此前的股东权益代币化,空投给超过100万名Shapeshift用户,这是加密货币历史上最大的空投。
DAO为协议和平台提供了一个快速筹集资金和机会,同时可以让更多社区成员参与决策过程。这可能会促使新协议和现有协议进行ICO,例如L2(如Boba)和DEX(如Sushiswap和Uniswap)推出Boba、SUSHI和UNI代币。
尽管允许人们集中投资的DAO越来越受欢迎,但它们并非新生事物。“TheDAO”是第一批让用户集中资金进行投资的DAO之一,它于2016年推出,已经从大约1.1万名投资者手中筹集了1.5亿美元,但由于智能合约中的一个漏洞,TheDAO资金被盗,而这一事件导致了2017年以太坊的硬分叉。
DAO存在的一个共同问题是社区规模扩大导致的决策进程缓慢和任务管理不善。围绕DAO管理的服务工具将变得越来越重要,并成为防止DAO社区对资本管理不当的关键因素。
八:去中心化游戏/P2E经济的大规模投资和元宇宙
2021年,游戏领域共有三大主题,分别为“边玩边赚”(P2E)、游戏公会和链游AxieInfinity的代币经济。链游区块链Flow已经诞生了一段时间,但AxieInfinity近期为所有即将发行的游戏创造了自己的生态系统区块链。
开发商选择在区块链上开发游戏,为玩家提供低成本交易、快速执行和结算,从而可以吸引大量用户。目前,只有某些元素是直接部署在链上的,如代币和NFT。基础设施公司为这些功能提供支持,如Stardust为用户外包NFT管理。到2022年,可能会有越来越多的传统游戏,如国际象棋和西洋双陆棋转向P2E模式,并完全部署在链上,包括计算和图形。
2022年,将有更多游戏直接部署在链上,提供永久存储并支持不同级别的NFT在游戏市场上交易。AnimocaBrands在区块链游戏领域处于领先地位,他们目前拥有8款基于区块链的游戏,包括虚拟世界,Sandbox(该游戏获得了软银等公司的大量投资。
并与阿迪达斯和雅达利等品牌合作)。AnimocaBrands还与F1方程式赛车和知名足球俱乐部(如拜仁慕尼黑和曼城)合作推出NFT收藏品系列。未来还将继续看到致力于游戏和NFT项目的区块链娱乐工作室的崛起。
此外,2022年还将有更多传统游戏公司(如EA、动视暴雪等)的游戏开发者进入区块链游戏领域。尽管如此,许多正在开发中的P2E游戏将不得不在上市时间和游戏质量之间做出权衡。
2022年将显示哪些区块链最适合游戏开发。Flow已经证明了其适合部署游戏,然而其他区块链,如Solana(低交易成本和高吞吐量)仍具有很大的的灵活性。
动态 | Tether确认在Deltec银行开设账户:据CCN报道,Tether公开宣布已与位于巴哈马的Deltec银行建立了合作关系,在该银行持有18.3亿美元资产,足以支持价值17.8亿美元的USDT。Tether在公告中称,Deltec在经过几个月的审查后才开设账户,其中包括评估该公司是否可以维持USDT与美元1:1挂钩。此前,The Block曾报道,知情人士透露Tether正在Deltec银行持有储备。[2018/11/2]
因为基于区块链的游戏要求玩家拥有该游戏的原生NFT,然后允许玩家在玩游戏时赚取代币,这也导致了一种状况,即一些玩家没有足够资金购买游戏的原生NFT。这便产生了奖学金项目,即游戏NFT所有者将它们借给玩家,称为“学者”。
这些学者随后会在游戏中投入时间并获得奖励。然后,奖励将在学者和游戏NFT所有者之间进行分配。这也催生了游戏公会。YieldGamingGuild就是一个典型的例子,该公会成立于2018年,拥有10万名会员,18500名YieldGuild徽章持有者,32名奖学金经理,以及超过1万名AxieInfinity学者,遍布东南亚、印度、拉丁美洲、巴西和欧洲。
公会经理需要确保拥有稳定的会员数量,才能让公会赚取更多的代币。然而,对于价值变化很快的NFT,资金管理将非常困难。围绕公会管理的软件管理系统将是2022年一个新话题。
与此同时,如何开发一款能够长期吸引玩家兴趣的区块链游戏也值得关注。AxieInfinity的日营收从2021年3月初的1万美元一度增至巅峰时期的1750万美元,但随后收入一直在下降,这突显出人们对区块链生态系统的兴趣转变非常迅速。
收益的快速上升和下降在某种程度上可以归因于玩家兴趣的转变和区块链新游戏的发行。2022年依然会呈现类似状况,因此焦点将转向如何制作一款带有P2E机制的区块链原生游戏,以吸引玩家的长期兴趣。

此外,随着更多的资金将投入到P2E项目中,也将诞生很多专注于投资区块链游戏的风投基金。例如,Spartan为其元宇宙和游戏基金筹集了5000万美元。而近期FTX宣布成立一个价值20亿美元的基金,专注于游戏领域的投资和并购,由AmyWu领导。
除了游戏领域的巨额投资,2021年对元宇宙的关注显著增加。到2022年,这一趋势将继续下去。在元宇宙或虚拟电子商务平台上直播的活动将为参与者提供活动商品,比如在Decentraland举办的多伦多时装秀。
更多的NFT系列收藏品将在元宇宙中发行,如澳大利亚网球公开赛推出NFT系列,Dolce&Gabbana系列也将在Metaverse中发行。在虚拟体验方面,更多游戏、和银行体验也将在元宇宙中呈现。银行和保险公司也在元宇宙中创建各种各样的虚拟服务。
摩根大通在Decentraland开设了一个虚拟休息室,综合性金融服务公司IMAFinancial计划在Decentraland销售保险。瑞典的Mecro银行已经宣布,正在研究在元宇宙中提供银行体验。
九:存储将继续由中心化公司主导
从财务角度来看,数据存储的成本在过去几十年里不断降低,尤其是去中心化存储。目前,全球存储的数据超过80ZB,这相当于大约2.4万亿部4K电影或4.8万亿个电子游戏。如果假设亚马逊可以存储所有这些数据,并每月收取0.0125美元/GB的费用。
这意味着亚马逊每月仅通过存储这些数据就可能赚取1000亿美元。这些数据归个人、公司和机构所有。存储业务为大型科技公司所有,是它们收入的主要来源,尤其是亚马逊(AWS收入占其总收入的14.5%)。
去中心化存储将继续压低大型科技公司的利润率,并允许世界各地的人们通过诸如SlikPhotos这样的解决方案,重新获得对自己数据的控制权。
从隐私的角度来看,去中心化存储允许人们将数据存储在分布式节点网络上,而非中央服务器上。在分布式节点网络中,人们的文件存储在多个设备上。存储内容只对上传者和其共享的用户开放,类似于谷歌Drive。
一些知名的去中心化存储协议包括Arweave,Filecoin和Functionland。这些都是开源的、社区治理的去中心化存储解决方案,允许用户在区块链上存储应用程序和文件。
还有一些公司没有区块链代币,但仍然使用Web3应用程序,例如Filebase,它以S3兼容的加密方式跨多个去中心化存储网络存储用户数据。预计将开发出更多围绕存储、索引和身份进行的业务模型。这些将是任何区块链项目的先决条件,有助于将Web3项目与区块链或加密货币项目区分开来。

十:区块链开发者的激励
2021年,Web2向Web3的人才流动创下历史新高。2022年,如何留住人才以及为开发者提供明确的长期和短期盈利目标将成为主题。
优秀的区块链开发人员不断在各项目之间跳槽,这导致了很大的变动。2021年ElectricCapital的开发人员报告显示,只有25-30%的区块链开发人员在第三年之后仍然在同一个项目中担任兼职或全职工作。Solana、NEAR和Polkadot等区块链都是使用流行的编程语言Rust与C++结合编写的。
在开发人员中,Rust编程语言比Solidity(以太坊的编写语言)更受欢迎。这主要是因为Rust存在的时间更长,且应用范围更广,同时Solana为了吸引开发者提供了高额奖励。自从Solana启动以来,它已经提供了大量资金来支持基于其建立的项目。
Solana和NEAR的开发者增长速度是2021年所有区块链中最快的,全职开发者增加了超过4倍,但他们只拥有一小部分的Web3开发者。Solana、NEAR和Polkadot总共有2700名开发者。
如何长期留住人才将会引发更多关注。尽管发放代币可以减少开发者流失,但代币的快速推出和代币价格的下降可能会导致人才流失更快。黑客活动也将加速这一进程。
随着越来越多的人接受区块链并意识到它的用例,将会有大量开发人员涌向Web3。很快,区块链将从一个流行词和一个产品卖点,发展到与产品完全集成。
Rust将继续作为以太坊生态系统之外新项目的主流编程语言。Rust是一种以安全和速度为主要目标的系统编程语言。StackOverflow开发人员调查显示,Rust已连续六年被选为“最受欢迎的语言”,显示了开发人员对Rust越来越多的支持。
希望学习一门新语言的开发人员应该认真考虑Rust,因为多个新区块链采用Rust作为编程语言,比如Solana(于2021年推出)、Polkadot(于2020年推出,但平行链于2021年推出)和NEAR(于2017年成立,但于2020年推出)。到2022年,可能会有更多新的L1区块链采用Rust。
十一:对监管的呼声渐高
为了促进机构采用,需要提供更多的链上监管、制定法律技术框架及进行身份创新。政府的重点将转向链上活动的监控,比如去中心化应用程序的KYC审查,从而允许监管机构跟踪链上认证的身份。
以太坊名称服务(ENS)是帮助用户创建数字身份的服务之一,它为钱包和网站提供名称。它允许用户拥有自己的用户名和个人资料,并在以太坊区块链的多个服务上使用。用户可以使用自定义钱包名称接收加密货币,而不是很长的钱包地址。
此外,法律技术创新需要与政府和法律团队合作,而这会延缓产品的上市时间。通过解决法律问题、实施安全措施、确保链上发生故障时交易可以不受影响,有利于促进链上流动性的增加。目前已有一些协议,如Astra协议,为智能合约配备了去中心化的合规层,以满足争议解决和KYC审查需求。
预计区块链会将第三方应用程序集成到智能合约中,使身份验证成为可能。目前已有像Polygon和Terra这样的链上应用程序,它们使用Synaps等数字身份验证应用程序,将用户的验证ID连接到他们的钱包,并以去中心化的方式进行存储。
链上的收益很高,但成本也很高。随着安全和保险范围的扩大,机构投资者的成本也可能增加。
隐私协议的监管可能不会在2022年实现。然而,问题愈发令人担忧,需要解决这个问题,才能让机构在链上部署资本。
随着加密货币采用的增加,越来越多的国家正在引入针对这一领域的法规。一方面,阿联酋等国家正寻求通过创建虚拟资产特区(包括数字资产、产品、运营商和交易所)来吸引加密货币企业。
2021年9月,阿联酋证券和商品管理局(UAESecuritiesandCommoditiesAuthority)和迪拜世界贸易中心管理局(DWTCA)签署了一项框架协议,允许DWTCA就加密资产相关金融活动进行许可和授权。
2021年10月,迪拜另一个自由贸易区DIFC发布了数字代币监管框架的第一部分,非公民和非居民可以在DIFC轻松成立独资公司,并获得签证和贸易许可证。迪拜是许多加密公司的总部,交易所BitOasis和DWTCA最近与币安签署了一份合作备忘录,以帮助建立他们的监管框架。
然而,也有一些国家和机构正在采取措施打击加密货币。从2022年4月1日起,印度将对所有虚拟数字资产征收30%的税,没有任何免税,这将使加密货币收入的征税与彩票和收入征税相同。
与此同时,萨尔瓦多接受加密货币作为法定货币的决定遭到了国际货币基金组织(IMF)的反对,主要评级机构惠誉国际评级(FitchRatings)下调了该国的信用评级。美国和英国对加密货币收益的税收制度与股票收益的税收制度相同,而在德国,持有一年以上的加密货币,无论利润多少,销售都可以免税。
美国总统拜登预计将发布一项行政命令,指示各级政府机构研究加密货币和央行数字货币(CBDC),并提出一项数字资产监管战略。
加强监管对加密生态系统是有益的,因为保护消费者、投资者和企业的措施可以推动加密生态系统的采用。此外,建立全球标准可以消除买卖加密货币的一些摩擦。然而,监管也可能对加密货币交易产生负面影响。根据政府政策,未来一些国家将变成加密货币天堂,吸引大量人才和资本。
十二:机构采用增加
友好的监管可以为机构开发加密产品提供更明确的指导。Coinbase在遭到监管机构起诉威胁后,放弃推出USDC借贷计划,但监管一旦明确,此类计划可能会重新提上日程。
市场上目前已经有加密期货ETF,2022年可能还会引入加密现货ETF。美国证券交易委员会正研究在纽交所子公司Arca交易所推出加密现货ETF。嘉信理财(CharlesSchwab)和灰度等主要投资者也在讨论在2022年推出加密货币ETF。
加密货币采用增加也再度引发了人们对央行数字货币(CBDC)的兴趣,但大多数CBDC仍处于研究阶段,英国等国仍在评估采用CBDC的优点。因此,主流CBDC不太可能在2025-2026年之前推出。中国计划在今年增加公众对CBDC的采用,而这有助于揭示与CBDC采用相关的优势和挑战。
随着区块链研究的成熟,区块链有望应用于其他政府职能。例如,爱沙尼亚政府已经在税收系统以及商业注册系统中使用了区块链技术,并利用区块链技术来保护居民的电子健康档案。英国的医院正使用区块链来跟踪新冠疫苗的存储和供应。
监管清晰也将激励金融机构提供加密产品。预计将会有越来越多的金融机构将加密货币质押作为一种相对安全的获利方式。FoundryDigital和Sygnum等公司已经为其客户提供了质押投资服务。
十三:稳定币的整合
稳定币
2021年是算法稳定币项目的一年。然而,大多数项目失败了。目前更多算法稳定币项目试图在抵押和算法之间找到一个最佳平衡点。
由于市场波动,UST(Terra稳定币)在2021年出现了两次脱锚。最终,Terra团队通过与Solana和Cosmos等区块链连接,获得了足够的流动性。
2022年,将出现更多像DAI和MIM这样的抵押稳定币。它们将自带一些附加功能,比如免费借贷。随着不同区块链之间更多的互操作性和互联性,一些稳定币可能会被淘汰。
中国数字人民币正在被腾讯和阿里巴巴等科技巨头采用,并推动了金融集团的增长。微信也在采用数字人民币并提供客户端访问。问题在于,数字人民币是否会与去中心化应用程序集成以及如何集成。
稳定币可以使加密货币成为日常交易的主流媒介,并应用于其它领域,如商品和服务交易、去中心化保险解决方案的发行、衍生品合约和消费贷款等。为了更好地发挥作用,稳定币必须保持其稳定性,而稳定币的波动性近年来也呈现显著下降。

结论
综上所述,Web3.0区块链基础设施是链上创新实现可持续增长的关键。2021年引发了关于Web3项目和区块链项目/程序/协议之间区别的第一场辩论。一个区块链公司至少应该与一个区块链交互,才能被视为区块链原生公司。
然而,一个Web3项目需要一个完全去中心化的技术解决方案作为基础设施的一部分,包括社区治理的开源项目和去中心化存储、身份和隐私解决方案。目前围绕区块链基础设施的开发工作正大量展开,许多商业模式都起源于它,预计未来全球区块链基础设施还将获得显著增长。
作者:秦晓峰,星球日报首发于3月初过去几个月,GameFi?市场最火爆的链游当属「STEPN」。该游戏基于?Solana?区块链构建,号称全球首款MoveToEarnNFT?游戏.
1900/1/1 0:00:00链捕手消息,艺术和娱乐数字藏品市场LimeWire宣布在LMWR私募代币销售中筹集到逾1000万美元,KrakenVentures、ArringtonCapital和GSR领投.
1900/1/1 0:00:00近年来,元宇宙的生态发展和区块链底层基础设施不断完善,为持续增长的NFT拓展了新的应用价值和增长空间.
1900/1/1 0:00:00链捕手消息,LG电子在3月24日举行的年度股东大会上宣布,将加密货币资产和区块链技术列入公司章程的新领域.
1900/1/1 0:00:00作者:杨树,ForesightNews3月20日,萨尔瓦多表示或因国际局势动荡推迟发行比特币债券,此前原本计划于3月15日至20日期间发行10亿美元比特币债券.
1900/1/1 0:00:00链捕手消息,以太坊二层结构化产品协议VovoFinance获得200万美元种子轮融资,由IOSGVentures领投,参投方包括Matrixport,LedgerPrime.
1900/1/1 0:00:00