本文源于十四正在撰写的《UniSwap从V1到V3的去中心化交易所之路》中用作资料援引,也发现市面文章的推导公式都颇为复杂,且重要逻辑转换缺乏描述,而无常损失又是Dex中AMM的重要部分,故单独成文。如读者对无常损失以及对应影响有兴趣的,亦可直接跳转文末阅读白话版本。本文推导基于AMM经典恒积公式

AMM机制简介可阅读:一文讲清-NFT市场新秀SudoSwap的AMM机制-创新挑战与局限部分公式中虚线系公式编辑器误操作,无实际意义如需word源文档可在公众号后台回复“无常损失”获取Part1:计算初始持有价值
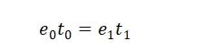
假定我持有若干e0(ETH)以及若干t0(Token),初始两者价值相等,如1e0=10t0,用公式表达其token的价格则p0为:

观点:柴犬相关Meme币的上涨不可持续,无需过度解读:金色财经报道,周一,Twitter将网页LOGO图标从蓝鸟更改为DOGE狗狗头像,狗狗币(DOGE)的价格几乎立即飙升,其他几个以柴犬为主题的Meme币也大幅上涨,整个板块平均涨幅为14%。SHIB等大市值代币涨幅达10%,而FLOKI、KISHU和BABYDOGE等小市值代币涨幅达25%。此外,3月份上线的zkSync区块链上的zkDoge和zkShib,涨幅高达100%。
然而,这种上涨不太可能长期持续,一些交易员警告称,这种走势并不预示着更广泛的趋势。
加密货币交易公司Flowdesk首席执行官Guilhem Chaumont表示:“我们不认为这预示着一场长期牛市。恰恰相反,加密市场的上升趋势是有规律的,首先是比特币经历牛市,然后是主要的山寨币,最后是市值较小的代币。[2023/4/6 13:48:07]
则我持有的总价值等于数量*价格为:

欧科云链解读《海南自贸港总体方案》:区块链产业的政策洼地与制度高地:6月1日,国务院印发了《海南自由贸易港建设总体方案》,其中在多个地方提到了区块链产业相关政策。欧科云链研究院认为《方案》将推动海南自贸区成为我国区块链产业的政策洼地与制度高地。从《方案》内容上看,海南自贸港的区块链产业发展将分为两个阶段:在2025年前的第一阶段,主要任务是推动区块链和实体经济深度融合,实现海南“贸易投资自由化便利化”,主要在“产权保护”和“新一代信息基础设施”两个方面深耕;在2035年前的第二个阶段,将以海南自贸区作为先行试点,建立数据确权、数据交易、数据安全和区块链金融的标准,确保我国在未来跨境数据的国际规则制定中不会处于被动位置。[2020/6/2]
如果未进行Uniswap注入Lp的行为,则未来即使token对比Eth的价值变动,产生了新的价格,则我介时的资产总值VH为:

Part2:为UniSwap注入流动性
动态 | “Ripple取消OTC交易模式”疑似为解读错误,官方尚未宣布此消息:金色此前报道,推特账户XRP Research Center今日发推称:“Ripple将不再支持OTC模式的代币买卖,即机构购买者想要购买XRP同样需要在二级市场上购买XRP。经金色查询,目前Ripple官方目前还未发出取消OTC交易模式的公告。Twitter中提到的交易很有可能是在9月25日Bittrex与UPbit的合作关系破裂之后,双方之间进行的正常资金返还。[2019/10/30]
我们可以将ETH和代币两者按一定比例注入流动性,这里方便计算假定为按总值各占50%的注入,流动性池会给我们Lp的凭证,如10个LpToken用于证明我们占据当前总流动性的分红权益股份。由于恒积公式,只有注入和抽离LP会改变K值

所以可以推导出计算当前e1的数量公式:

分析 | TokenGazer币安中签解读:大陆用户仍为主力 机构持有较多BNB:TokenGazer分析显示:币安此次签数16666个,因为放开国内用户准入,中签率从上次MATIC的58.38%下降到30.82%;按照这次的中签率,锁定20天的BNB数量是540多万个,约3-4%的比例,再次说明大部分bnb在机构手里;另,此次中签率下降了一半,持有100个BNB以上地址大概率为活跃交易用户,可能说明用户仍旧占到币安活跃交易用户的半壁江山。[2019/5/28]
最终

如此综合计算我们可以提取的流动性价值VU是

此处得出VU的将构成后续无常损失部分的被减数,因此特地为VU推导了上诉的两个采用e1以及不采用e1的公式Part3:无常损失公式推导
动态 | 比特币COT持仓周报解读:Asset Manager账户空头持仓为0 短期维持看多判断:美国商品期货委员(CFTC)今日发布了截止5月7日的交易员持仓报告(COT),报告显示,芝加哥期货交易所(Cboe)比特币期货持仓量共2607手,环比减少103手。杠杆基金多单226手,空单887手,净空头数量为661手。芝加哥商品交易所(CME)比特币期货持仓量为4388手,环比增加75手,杠杆基金多头合约为1941手,空头合约为2692手,净空头合约为751手。上周Ass..[2019/5/11]
依据Part1我们得出了保持持有当前token的价值VH,依据Part2我们得出了不用持有而是投入Uniswap做LP的总价值VU,显而易见:Divergenceloss应该是VD

由于价值涨跌应该依据其对于原始价值的比值,所以我们把等式两边都除以VH

此处带入上文Part1和2结论中的VH与VU详细公式

所以无常损失率VD/VH为:

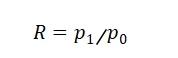
这时最关键的一步,无常损失发生在有价格差的两个时间段上,所以我们来带入价格的变化率R,其等于两个时间的价格相除

结合Part1中的公式

所以R也等于

结合无常损失率VD/VH我们将核心部分都乘以e0来形成只有R的最终公式

这样则可以化简出只有R来表示的无常损失率

由于最终无常损失率值和R值有关系,则也意味着只要R有变动,无论增加还是减少,都将产生无常损失,并且按倍数衡量是一个对等的数值Part4图表化无常损失公式
我们可以通过绘图工具来呈现这个公式的结果,虽然下图看似是一个非对称的曲线,但实际上是对称的,因为他是一个相对的倍率,即对于原价值的1ETH=100Dai而言,跌到1ETH=50Dai是下跌1倍,等于涨到1ETH=200Dai则是上涨1倍,其无常损失是相同的均为5.72%


如何理解无常损失?无常是什么意思?首先他是命名不恰当,之前选择“无常”这个词是因为如果价格背离被逆转,那么由于价格背离造成的损失也会被逆转,后来更多的文章会采用来描述他。无常损失在何时发生?如果价格回到与流动性提供者增加流动性时相同的价值,这种损失就会消失。这种损失只有在流动性提供者撤回其流动性时才会实现,并且是基于存款和取款之间的价格差异无常损失会超过导致LP入不敷出吗?流动性提供者的实际回报,其实是价格差异造成的背离损失与交易所交易的累计费用之间的平衡。

如上图,该账户自成为LP以来,与仅持有原始资金相比,该账户一直处于净负头寸。这是由于在此期间ETH价格变动造成的巨大背离损失。然而,自始至终总费用一直在稳步累积。随着ETH价格接近提供流动性的价格,大部分损失会被扭转。无常损失究竟来源何处?向市场提供流动性做LP,即成为做市商,实际上是和市场中的用户做对手盘。而AMM是被动的和市场中的用户做对手盘,即当市场中大部分人看好ETH的后续市场,则会用DAI买入ETH,你的流动性池子会被动的增加DAI而减少ETH。所以,提供流动性就代表了总是和市场做反向的操作,总是倾向去持有更多的弱势资产。于是当ETH上涨,你的流动性会不断提前抛出ETH,而拿到更多的DAI,这些被提前抛出的\nETH就成了无常损失的来源,即这个时候无常损失可以理解为你在ETH上的踏空损失,或者是被外部套利者拿走了池内的价值。相关资料https://uniswap.org/whitepaper.pdfhttps://pintail.medium.com/understanding-uniswap-returns-cc593f3499efhttps://pintail.medium.com/uniswap-a-good-deal-for-liquidity-providers-104c0b6816f2https://hackmd.io/@HaydenAdams/HJ9jLsfTzhttps://github.com/Dapp-Learning-DAO/Dapp-Learning/blob/main/basic/13-decentralized-exchange/uniswap-v1-like/README.md欢迎你从公众号后台留言作者探讨web3行业问题点赞关注十四,用技术视角带给你价值
标签:ETHSWAPUniswapPARETHSHIB价格treeswap币价格uniswapwallet教程PARAGON
在过去的一年里,我一直从多个创始人那里听到,筹资变得更加困难,我想知道为什么。在过去两年的大部分时间里,我都在风险投资方面,我发现很难客观地衡量这种情绪,所以我在推特进行了一次投票调查,以了解情.
1900/1/1 0:00:00本期研究,我们会分享以下四个重点:1.三个头部数字资产管理公司和交易所在香港证监会的持牌情况的对比和业务链分析。2.整合并记录与一家香港专业律所和合规人事就香港1479号牌照的访谈情况.
1900/1/1 0:00:001月31日,NFT交易协议sudoswap正式发布治理代币SUDO并开启治理模块,SUDO的Lockdrop和Airdrop也正式开放.
1900/1/1 0:00:00演员沈腾大概也没想到,有一天自己的名字居然会和加密山寨项目联系在一起,并由此诞生一个全新的板块——「沈腾」春晚概念币.
1900/1/1 0:00:00注:近期一个名为nostr的去中心化社交协议获得了比特币社区的追捧,这引来了Twitter现任CEOElonMusk争议性的封杀政策.
1900/1/1 0:00:002022年,加密市场整体低迷,在缺乏技术创新的背景下,DeFi市场更是表现疲弱。但是,伴随FTX暴雷,市场重新关注DeFi赛道,DeFi市场份额不断回升;与此同时,DeFi龙头在一段沉寂之后,新.
1900/1/1 0:00:00