许多人试图将 Layer 1 区块链代币像股票一样进行估值,这是很荒谬的。与其像*公司*一样给以太坊、Solana等定价,不如像*国家*一样给它们定价。大多数人对公链代币估值时采用了错误的方式:
有些人将股票的价值投资框架应用于区块链,并得出ETH、SOL、AVAX等的价格/收益、价格/销售比率。不出所料,从这种模型算出来的比率看起来高得惊人。如此之高,以至于他们会让任何价值投资爱好者心脏病发作。

问题就在这里,收益是一个公司的全部价值,但它们并不代表公共区块链的价值。如果以太坊明天将平均 Gas减少一半,其他条件不变的情况下,市盈率将翻倍,这是否意味着以太坊被加倍高估了?
不,恰恰相反,这将是对平台增长的一种促进。
如果美国将所有税率提高一倍,美国政府的 "市盈率 "将下降一半。但这对美国经济有好处吗?几乎没有。从结构上看,一些国家的政府活动在经济总量中所占的份额比其他国家要高。在其他条件相同的情况下,中国(较大的政府)的市盈率会比美国(较小的政府)低,这能说明这两个经济体的价值吗?显然不能!
DCF是另一个用于股票估值的常见框架,实际上更加荒谬。使用折现现金流来评估L1代币的价值是浪费时间的,它试图用以太坊的未来收入来确定当前ETH/美元 的汇率。但未来的收入需要通过未来的汇率来转换,而这又取决于当前的汇率,这完全是一个循环。
L1 代币如 ETH、SOL 都是货币和收益资产。如果将它们视为股票,那么就忽略了它们作为各自经济中的记账单位和交易媒介的功能。后者的估值,即所谓的汇率,要复杂得多。

因为公司未来的现金流与其股价以相同的货币(例如美元)计价。但 Solana 和 ETH 的未来现金流是以 SOL 和 ETH 为单位,而不是以美元为单位。因此,你需要对未来每个时期的汇率做出假设,以得出以美元计价的DCF。
Zumo首席产品官:建立正确的监管框架是数字资产行业的首要任务:金色财经报道,Zumo 首席产品官Paul Roach表示,建立正确的监管框架是数字资产行业的首要任务,但我们确实需要 FCA 与其他政府机构更紧密地合作。[2023/6/9 21:26:04]
Solana 的 DCF 模型:

这完全没有用,因为 美元/SOL的汇率是你首先要计算的。与其应用公司估值模型,不如将L1 代币作为加密货币国家的货币进行估值。
L1 代币是一种新的资产品种,它们有点像股票,有点像债券,也有点像货币。但是,区块链平台越大,它就越像一个主权经济体,其原生代币就是一种真正的货币。而加密领域最可靠的注就是以权益证明为经济引擎的区块链国家。
目前,有超过 100 个使用权益证明 (PoS) 作为共识机制的加密项目。它们的市值为 4000 亿美元(不包括 ETH 2.0),占加密货币总市值的 15%。其中大约 40 个是公共智能合约平台,也就是所谓的第 1 层链,去中心化应用程序运行在上面。
虽然竞争激烈,许多L1 区块链会消亡,但很明显,未来将会有多个 PoS机制的 L1 链及其扩展层将共存,并成为元宇宙的基础设施。但是除了对区块链的安全、技术、功能之外,大多数人并没有掌握 PoS 的巨大经济影响。
如果 L1 链是拥有自己主权经济生态系统的新民族国家(第 1 层链是新的民族国家。不同之处在于您可以成为双重、三重、四重公民,而不必放弃旧护照),那么权益证明是使能源和价值在整个系统中健康循环的基础引擎。
价值流通是如何发生的,以及为什么 PoS 如此重要?
作为主权经济体的智能合约平台,一个成长中的L1平台,是一个强大的吸收金融的流动性的黑洞,如果你想进入Ethereum国家,你需要购买ETH。如果你想进入Solana国家,就买SOL。
拜登:通胀正在下降,一切都在朝着正确的方向发展:金色财经报道,美国总统拜登表示,通胀正在下降,一切都在朝着正确的方向发展。物价仍然太高,还有很多工作要做。工资上涨的幅度超过了物价上涨的幅度。希望物价在2023年底前接近正常水平,但不应该上涨。[2022/12/14 21:42:21]
L1平台通过飞轮效应,金融运作和现实世界引导其国民经济。
原生代币价格上涨—> 为平台吸引流动性—> 资助更多应用程序在其土地上构建更多用例—> 吸引更多真实用户和更大的网络效应—> 对原生代币的需求增加—> 代币价格上涨。
从某种意义上说,这并不新鲜。当一个国家的经济快速增长时,其本国货币的汇率往往会升值。在过去的200年里,美元发生了这种情况,在过去的20年里,中国的人民币也发生了这种情况。
但这种飞轮本身是不稳定的。代币价格,即汇率,不会永远上升。
如果飞轮可以在价格上涨时旋转起来,那么当价格走向另一个方向时,它也可以同样容易地旋转下去。在 "现实世界",称为商业周期,即经济经历繁荣和萧条。由于人们不喜欢萧条,于是想出了一些方法,根据经济状况增加或减少货币供应量,以试图平衡经济的衰退和繁荣,我们称之为 "货币政策"。
如果你想刺激国民经济,就扩大货币供应量,只要你不太过分,通常就会成功。就像美联储印制美元以挽救美国新冠带来的低迷一样,像 Solana 和 Avalanche 这样的新的L1公链发行更多的SOL和 AVAX以使其经济发展。(那么多的人对印钞机和象征性的通货膨胀深恶痛绝,其实是他们反应过激了。这些工具虽然有负面的副作用,但是,当你有一个被证明是有效的工具时,你不使用它就是一个白痴)。
除了政策的可编程性之外,区块链国家和美联储的不同之处在于:美联储必须依靠 tradFi(银行和影子银行)将其货币政策推向经济。
但 TradFi 是一个糟糕的管道——在它应该流动的地方堵塞,在它应该容纳的地方泄漏。
Peter Schiff:高盛警告避免使用BTC是正确的:黄金支持者Peter Schiff刚刚在推特上表示,高盛(GoldmanSachs)警告客户避免使用比特币是正确的,但它对美国经济、美元和通胀的评估是错误的。一旦他们最终弄清楚什么是显而易见的,他们就会建议客户购买黄金,只是价格要高得多。[2020/5/28]
最终会在系统中出现许多丑陋的不平衡,这些不平衡会在以后让您大吃一惊。相比之下,权益证明为区块链经济体提供了一种更公平、更有效和更可持续的货币政策传导机制。
作为区块链国家的基础经济引擎, PoS 的基本思想很简单,区块链奖励人们验证交易,为了确保验证者是诚实的,它要求他们以链的原生代币的形式锁定资源,即 staking。
虽然旨在作为一种安全机制,但 PoS 的经济意义是深远的。
1.它为公民提供了持有原生代币的持续动机。
使用工作量证明,只有矿工才能获得处理交易的奖励。其余持有人主要持有代币,他们预计价格会上涨。这就是为什么像比特币这样的 PoW 链需要永远宣传不断上涨的价格,并促进 HODLing 文化的宗教般的精神控制,以保持人们的兴趣。(这也是 BTC 价格始终波动且不适合作为记账单位的原因)。
相比之下,PoS 除了价格上涨之外,还为持有提供了切实的经济激励。即使您只有 1 个 SOL,您也可以通过委托抵押获得一致的收益。
Lido 和 Marinade Finance 等流动质押服务让这一切变得更加容易——您质押的代币不再有锁定期,能够随意进出。这增加了用户的粘性,提高了以 L1 代币计价的所有东西的价格稳定性,并降低了交易成本。
2. 高效分配平台经济产出。
传统世界,任何市场经济的 GDP 都以两种形式分配给其参与者:劳动收入和资本收入。在过去的几十年里,所有发达国家的劳动收入在经济中所占的份额都在缩小。这是全球化、自动化和税收政策影响下的综合结果。它导致财富不平等越来越严重,因为劳动力是群众的主要收入来源,而只有少数人拥有资本。
动态 | ETC Cooperative执行董事重谈2016年以太坊硬分叉,称其为“正确的选择”:ETC Cooperative执行董事Bob Summerwill最近重谈了2016年以太坊网络硬分叉(分为ETH和ETC)一事。Bob表示,硬分叉显示出了在以太坊网络中存在的不同群体,有一部分人希望在智能合约功能方面做得更多。“有一群人更激进,更能容忍风险”。Bob认为硬分叉是正确的选择,他把其比作一段糟糕的婚姻,称“这是离婚的权利。另一种选择是余生都被困在一个悲惨的婚姻中”。(AMBCrypto)[2019/10/27]

人工智能和机器人技术取代劳动力的技术进步。将在未来几年加剧这一趋势。
总有一天,许多人将无法仅靠劳动收入谋生。世界已经很丰富了,但它需要新的方式来分配其丰富的财富。
一种解决方案是让更多人通过资本收入赚取更多收入,区块链国家的抵押机制有助于以用可编程的方式实现这一目标。
L1 代币的部分 Staking 收益来自平台收取的交易费用。区块链国家从其土地上发生的每项经济活动中抽成,直接作为 Staking 奖励或间接通过燃烧txn费用,并将其交给用户,以支持代币价格。
这允许每个参与(参考:股权)平台的人分享其经济产出作为非劳动收入,这就是大众的资本收入。而传统国家的政府需要数年时间才能实施任何类型的全民基本收入。
但是区块链已经在做这件事。Solana 和 Fantom 等 L1 的 Staking 参与率远远超过 60%——这些经济体中的大多数公民都获得了资本收入。
3、促进货币政策传导。
L1 抵押收益的另一部分来自新的代币排放,即平台“打印”钱并将其直接放入用户的口袋。这比美联储的货币政策要强大得多,因为美联储的货币政策必须通过高摩擦力的银行系统取下来,而银行系统对一些人的好处要比其他人多得多。
声音 | Coingeek创始人喊话比特币耶稣:现在该做正确的事:Coingeek创始人Calvin Ayre在推特说道,除非ABC再分叉或者颁布重新保护以进行永久分叉,否则事情还没完。随后,他喊话比特币耶稣,你也是制造混乱的一份子,现在该做正确的事。
Calvin Ayre表示,实际上, ABC的拥护者根本不应该发起这场哈希战争, ABC应该重新制定保护计划, 并且所有的交易所应该讲ABC除名,因为现在很明显, 这个混乱完全是他们造成的。[2018/12/7]
4、为新金融业提供基础成分。
L1 的主要 Staking APY 范围从 4% 到 15%,这比银行的储蓄利率更具吸引力,比 DeFi 中的产量农业更稳定,因此,PoS 为其他金融产品奠定了基础。

像 Anchor 这样的 DeFi 产品已经在后端使用 L1 质押,以提供接近 20% 的稳定币储蓄率。

其他产品提供 "自我偿还 "贷款,或通过在PoS链中抵押借款人的抵押物来降低贷款的清算风险。
这只是一个新金融系统的开始,其中 L1 抵押收益率将为其生态系统中的所有其他金融产品提供参考利率。
小结:
智能合约平台是新的主权经济体
权益证明驱动加密国家经济
PoS 支持价格稳定,为大众提供资本收入,创造强大的货币政策并为新的金融体系提供基石因此,在评估 L1 代币时,货币的汇率模型比股票股息模型更有用。
不幸的是,当您尝试评估汇率时,就像打开了一罐蠕虫,有一百万个不同的影响货币相对价格的因素,以及数百个框架和假设,甚至可以写出放满一个图书馆的书。但是有一个简单而优雅的框架,可以说是最接近“基本面分析”的框架,那就是货币的量化模型。
它表示:货币供应量 (M) · 货币流通速度 (V) = 价格 (P) · 实际 GDP (Y) 重新排列等式 & 您可以将价格水平表示为:

这与汇率有什么关系呢?
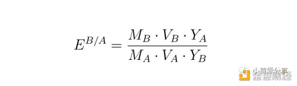
假设任何两个经济体的产出都是可替代的,因此价格差异可以被套利(这在很多情况下显然不是真的,但只要方向正确,就不会影响我们的目的),A国和B国的价格水平之间的关系是:

简单的例子:一个汉堡在德国卖 1 欧元,在美国卖 1.5 美元,所以 美元/欧元 汇率 = 1.5。
将此等式重新代入先前的国内价格水平等式中,您将得到:

如果不够清楚,让国家 A = 美国国家 B = 以太坊,可以得到:

这意味着 ETH 兑美元在以下情况下升值:
1/ 以太坊 GDP (Y_ETH) 增长快于美国 GDP (Y_US)
2/ 美国货币供应量 (M_US) 增长快于以太坊货币供应量 (M_ETH)
3/ 美元货币流通速度 (V_US)增长速度快于 ETH 货币流通速度 (V_ETH)如果按面值计算这个等式,以美元计算的 ETH 价格增长率与美国货币供应量的增长率之间应该存在 1:1 的关系。
自去年美联储资产负债表大规模扩张以来, ETH 价格发生的变化就是证据。但这还不是最有趣的部分,有趣的是,以太坊价格增长率与以太坊 GDP 增长率(即以太坊经济的总产出)之间也应该存在 1:1 的关系。
当然,没有统计局为以太坊国家编制“GDP”。但是可以从交易、钱包、TVL 等的增长率间接推断出 GDP 增长。几乎每笔交易都涉及一些额外的经济产出,钱包的增长可以被认为是该国“工作人口”的增加。
TVL 的增长反映了经济中金融部门的增长。当然,这些都不是完美的措施,但关键是它们与平台上产生的额外经济产出呈正相关。实际数据证实了这些变量和 代币/美元 汇率之间的关系。交易量的增长与ETH 的价格增长呈近乎线性的相关性,从历史数据来看:交易量增长 10%,价格平均增长 13%。

同样,钱包总数增加 10% 价格平均上涨 7%。

下面这张就更引人注目了。钱包增长的加速(即新钱包的增长率)与 ETH 价格增长几乎是 1:1 的关系。

这并不是全部,虚拟世界中的软件开发就像实体经济中的建筑业,是GDP 增长的领先指标。可以说,在第 1 层平台上的开发人员活动比交易或钱包更能说明即将到来的经济扩张。
回到 5 月份,如果您在 Github 上搜索“ethereum”和“solana”,前者返回的 repo 结果是后者的 65 倍。到 10 月,倍数已缩水至 17 倍,密切跟踪 Solana的快速增长。

所有这些并不是说平台自己的现金流无关紧要。对于 L1 代币的稳定性来说,这很重要。
政府并非偶然成为垄断货币发行者。历史上有许多私人货币,但它们从来没有持续很长时间,而且总是被政府资金所淘汰。在私人资金的诸多问题中,缺乏"价值锚定 "是最严重的问题。政府可以通过税收来保护他们的货币价值,这是最稳定、几乎有保障的收入。
即使法币是 "无担保 "的,政府也可以通过税收来筹集资源,并利用这些资源来购买/出售他们的货币以维护其价值。这非常重要,能够给货币持有者以信心。对于非政府货币,这很难!由于交易费被编入平台上的每一项经济活动,并用于代币燃烧或 Staking奖励,区块链主权经济体的货币正在实现类似于政府货币的财政支持。
正如我们已经讨论过的,虽然这些现金流并不能确定代币价格,但从长远来看,它们有助于保持汇率稳定。但对代币价格而言,最重要的仍然是加密货币国家的 GDP 增长。由于元宇宙仅处于原始阶段,我们甚至还没有看到这种增长的第一阶段。
撰文:RealNatashaChe
翻译:小荷爱分享
10 月以来各类安全事件依然多发且主要集中在月末,从 Defi 安全角度看安全形势不容乐观,黑客攻击带来的损失最大多达 1.3 亿美元,令人震惊.
1900/1/1 0:00:00这篇文章将深度探讨周三完成的?Altair?更新,以及它如何为合并奠定基础,这可能是迄今为止最大的以太坊升级。文中将讨论这些升级对以太坊区块链和以太坊这种资产的影响.
1900/1/1 0:00:0010月6日,Euterpe白皮书正式在SSCI(社会科学引文索引)美国核心法学期刊《布法罗法律评论》(Buffalo Law Review)上公开发表.
1900/1/1 0:00:00注:原文作者为Tarun Chitra,以下为全文编译。随着DeFi和NFT社区规模的巨大增长,如何治理去中心化协议就显得更加重要.
1900/1/1 0:00:0011月3日消息,在 Microsoft Ignite 会议上,微软宣布了一项针对 Teams 的新功能.
1900/1/1 0:00:00距离Facebook更名为元宇宙相关的“Meta”名称已经过去了一周多,该举动引发了元宇宙行业的众多探讨,一些科技巨头纷纷开始涉足元宇宙领域.
1900/1/1 0:00:00