以太坊2.0的上线将成为加密社区的重大里程碑事件,一定程度上会决定区块链行业的发展走向,其中也将诞生许多参与机会,对整个加密生态的影响非常巨大。本文将试图从参与者的角度理解以太坊2.0的一些基本框架,以及展望一下随之而来的市场机会。以太坊的发展阶段概要
以太坊的发展阶段分成四个部分,分别是:Frontier前沿-2015年7月上线;Homestead家园-2016年3月上线;Metropolis大都会-第一阶段拜占庭2017年10月上线,第二阶段君士坦丁堡2019年2月;Serenity宁静–预计2020年底上线。以太坊的主网第一阶段上线时,各方面功能都不完备,所以每一个阶段的发展都试图解决某一些问题,如可用性、性能提升,图形界面优化等。前三个阶段均使用PoW型共识,而到了Serenity宁静阶段,将转为PoS型共识。Serenity宁静阶段近两年来被业内称为以太坊2.0,代表了一次非常重大的升级。以太坊2.0的升级和前几次的升级最大的不同,是在于这次升级不是一次传统意义上的硬分叉,而是从Ether从1.0链向2.0链的迁移开始。用户迁移是自愿的,所以会同时存在两条链,一个是PoS的Beacon链,一个就是现在这条ETH1.0链。根据路线图,两条链将分别继续开发,然后会最终合二为一,是一种巧妙也是比较现实的方法。Beacon链主要的是完成PoS和分片的实现,解决扩展问题,1.0链要继续进化到1.x,到完成无状态以太坊的实现,解决状态爆炸问题。最终,是为了以太坊实现扩展性,如Vitalik所说,ETH2.0isallaboutscaling。Consensys描述的ETH2.0的三个阶段:

以太坊1.0到1.X
以太坊1.0的归宿-以1.x状态成为2.0的分片链ETH1.0的留存目的之一继续作为当前以太坊生态的基础链继续存在。2.0的升级过程中首要考虑的因素是,目前还有大量的Dapp在1.0链上,还有大量的开发者围绕着1.0进行各类产品/优化/底层/扩容的研究和开发。而2.0的Beacon链在一开始是没有办法进行Ether转账的,转账只能发生在分片链上,而分片在2.0的Phase1才可以实现,在Phase2上才会重启智能合约,所以这些智能合约只能在Phase2阶段迁移过来。因此1.0也是保证以太坊目前的生态发展不受影响。另一方面,1.0将会继续进化到1.x,这样以太坊的两条链在分别完成自己的任务之后,将开始合并。所以完整的ETH2.0,既包括了宁静阶段的三个Phase,也包括了当前ETH1.x的研发结果,直至合二为一。目前的方案是,ETH1.x作为2.0的一个分片链而被合并,状态则完全迁移到2.0上,这样现在的生态可以不受影响的直接迁移。以太坊1.x肩负无状态以太坊的研发以太坊使用的是MPT数据结构,但是随着区块的增加,其次存储数据量也在不断增加,以后势必造成状态爆炸的状态。每一笔新的交易,都需要去遍历一遍MPT树,这对于扩展性来讲负担较重。所以无状态的概念被提了出来,就是当客户端节点可以不保存状态,但是仍然可以验证交易。而之前的状态通过状态见证者就可以得到实现。所以在1.x,将会出现有两类重要角色,一类是区块见证者,包含了交易信息,和之前交易需要访问的所有状态和见证信息。另一类是状态见证者,保存了所有之前状态的信息,用以提供交易的验证。新的角色需要新的激励,以太坊基金会研究员SamWilson及AnsgarDietrichs一起探讨了状态见证者的三种激励模型,还比较早期,这里把三类模式的探讨列在此处:
Crypto.com产品负责人:人工智能可以提升加密用户的体验:金色财经报道,Crypto.com的产品负责人表示,在谈到加密货币产品时,用户体验仍然不够轻松。但他认为,将人工智能(AI)纳入行业交易所可以缓解这一问题。本月早些时候,Crypto.com推出了Amy,一个目前处于试验阶段的人工智能伴侣。Amy的基础技术是基于OpenAI的ChatGPT,尽管该公司正在努力专门培训艾米,以便对行业相关问题提供有益的回应。
Crypto.com的全球产品主管Abhi Bisarya表示,Amy目前只在该公司的价格页面上提供。[2023/5/20 15:15:00]

除了无状态以太坊,开发者也讨论过状态租金的模式,以限制过于庞大的状态增长,但是开发者也讨论过状态租金的模式,但可能对现有的智能合约和Dapp影响较大,需要硬分叉实现,会引发较大争议,所以目前对状态租金的研究已经搁置,资源导向了还是无状态或者半无状态的开发。简要而言,无状态以太坊的研究不仅是1.x的问题,最后也会变成以太坊2.0的的通用模式,以太坊基金会就认为未来以太坊2.0的分片链一定是无状态的。以太坊2.0要解决的问题
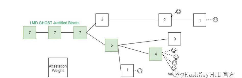
以太坊2.0有四个需要解决的问题:分叉选择、最终性、分片、验证者责任。并分别用不同的技术和制度手段去实现。分叉选择-保证安全性以太坊2.0使用LMDGHOST(「LatestMessageDrivenGreedyHeaviest-ObservedSub-Tree」)作为分叉选择。这里面包含了两个协议:LMD和Ghost:Ghost是一个在PoW链上就非常应用成熟的协议,是一种最长链的原则,和BTC上的最长链原则相比,Ghost选择子树最多的协议,所以最长的链未必是Ghost所选的链。相比最长链原则,Ghost原则可以做到:1收敛;2抗51%攻击;3TPS和最长链差不多,但是安全性没有下降。Ghost协议也是目前以太坊1.0所使用的协议。LMD是在2.0新加入的分叉原则,和Ghost一起构成了LMDGHOST。LMD就是指最新的消息。由于在2.0中采用PoS加入了验证者的角色,最新的消息就是指更多验证者的证明,就是在Ghost原则里,再加入更多验证者的证明(attestation),这就使得最长的链变成权威链,根据Casper协议拥有最终确定性。
东京电力公司与TRIPLE-1合作利用多余电力开采加密货币:金色财经报道,日本公用事业公司--东京电力公司(TEPCO)正在与当地采矿钻机制造商TRIPLE-1合作,以利用其电网中的多余电力。东电在9月成立了一家名为Agile Energy X的子公司,旨在从该公司的过剩电力中创造数字价值,包括开采加密货币。两家公司在周三的一份新闻稿中,与当地硬件制造商TRIPLE-1签署了一份谅解备忘录,在全国范围内开发分布式数据中心,利用TRIPLE-1的半导体,利用多余的可再生能源。根据该新闻稿,该项目的目的是通过为加密货币开采和人工智能计算创造新的需求来 \"有效利用剩余电力\"。(coindesk)[2022/12/14 21:44:22]

最终性问题-不会被逆转,解决长程攻击以太坊2.0的最终性由Casper协议来解决。PoS类型的共识有三类:中本聪类型的共识、PBFT基础的共识和以链为基础的共识(CasperCBC)。但是只有后两种可以达到最终性。所谓最终性就是当一个区块被确认过以后,就基本不会被逆转。而中本聪类的共识,是依靠概率去「确定」最终性的,就是还可以被小概率事件所推翻。而PBFT类或者CBC类的最终性,即是100%概率的最终性,除非1/4或者1/3以上的验证者站出来去反对,才可以翻转这个结果。CasperFFG对PBFT进行了改良,继承了PBFT的优点,并针对PBFT不可抵抗共谋进行了设计,并加入了抽象的共识机制、抗长程攻击、灾难性崩溃等机制的设计,并开始整合分片方案,成为ETH2.0phase0阶段的共识机制。Phase0会开始采用一个修改后的FFG,最终在Phase2或以后部分完成CBC的转换,CBC拥有更高的安全性和理论性质,但复杂度和效率较低,实现起来难度大。分片是2.0实现扩展的基本设计为什么要分片?共识协议改变成PoS是对扩展性是没有提升的,扩展性依靠的是分片。分片是计算机术语,数据库的分片已经久已存在。分片的难点在于维护安全性,因为一旦分片,每个分片的安全性就要自己维护。2.0的主要做法是,通过洗牌Shuffle,通过伪随机来选择一批验证者,随机给分片链进行投票。如果没有随机,那可能大量的恶意验证者被分配的到一个随机验证委员会,这样通过洗牌,可以确定的是即便有1/3恶意攻击者存在的情况下,对分片链的攻击成功概率仍然很低。除了分片以外,Layer2一直也是扩展的主要途径。2.0下Layer2仍然必要。目前来看2.0下若分片可以顺利实施,则Layer2的必要性可能不大。但关键在于分片实现的时间和稳定性。Vitalik自己都对以rollup为代表的Layer2的方案都很积极,分片的实现还需要好几年,目前Layer2就可以直接在1.0上使用,那扩容在今后几年都需要依靠Layer2,所以这是非常必要的一个方向。即便2.0分片实现,Layer2变得可能没有那么必须,但仍是可选方案,彼时其相比分片将非常成熟。验证者责任验证者validator在Phase0阶段有三项任务:在每一个epoch验证attesting信标链;收集同一委员会验证者证言attestations;被随机选入验证者队伍后,对信标链上出块。以太坊里的时间间隔有两个单位:一个slot为12秒,一个epoch为32个slot=6.4分钟。1个epoch中,验证者以验证者委员会的方式去进行出块,每一个验证者委员会将以委任一个slot。委员会里面的验证者验证信标链的链头并进行广播。出块者proposer将从委员会中随机选出。被随机选上的验证者将负责出块并获得奖励,若是违反了出块规则,或者不在线,则会被罚没slashing。关于slashing的讨论我们放在下一部分。以太坊2.0的Staking问题
广告平台 LandVault 将在 Decentral Games 旗下扑克游戏中引入广告:11月19日消息,广告平台 LandVault 将在 Decentral Games 旗下元宇宙扑克游戏 ICE Poker 中引入广告。ICE Poker 是 Decentraland 上最受欢迎的游戏之一,根据 Messari 的数据显示,其在 2022 年第二季度平均拥有 7800 名每日活跃用户。ICE Poker 是一款免费游戏,Decentral Games 制造了游戏的可穿戴设备,仅在第二季度就赚取了约 1850 万美元。[2022/11/19 22:07:02]
以太坊2.0对于参与者来说最重要的特性就是可以进行staking了,而且可以从Phase0就开始,这其中涉及质押回报、长期锁仓、经济奖惩等诸多问题,本部分尝试就重要方面进行讨论和解答。Beaconchain质押参与率就32个Ether就可以迁移到Beaconchain这个限制,目前已经有接近11.7万个超过32个Ether的地址。虽然数量一直在增加,但是从斜率上看,增加的速度已经维持了2年没有什么变化,而不是因为近期以太坊2.0上线的消息。因为转移是自愿的,用户无非就是考虑几个事情:锁仓收益率;操作难度;流动性风险;机会风险。

锁仓收益率并不完全确定,而是根据参与人数量最终确定,Vitalik给过一个锁仓收益率的测算,大概如下:

如果是最低限度的人参与质押,即刚刚好524,288个Ether参与抵押,那收益率将非常高。但这似乎很难做到的,如上所示超过32Ether的地址已经多达11.7万个,仅这样计算,就高达3,740,000个ether要进行抵押。补充:以太坊2.0的Phase1则需要至少262,144个账户或8,388,608个ether参与当然采取观望态度的人会很多,但单地址中多于32ether的用户也会很多,很多大户持有的Ether量非常大,用户可以进行多账户分配参与抵押,所以我们预计质押Ether突破300万个并不困难,收益率很有可能下降到10%以下。另外就是那些不足32个的想参与质押服务的,可以通过staking服务商的类似「合并账户」的服务进行质押,所以最终的质押率不会太低。Consensys做了份调查,那些愿意自己做validator的用户,预期自己跑的节点数量,可见一个用户跑多节点的情况会很常见。
Circle过去一周共发行23亿美元USDC,流通量减少5亿美元:8月28日消息,USDC发行商Circle披露数据8月19日至26日发行数据,过去一周共发行23亿美元USDC,赎回28亿美元USDC,USDC流通量减少5亿美元。截至8月26日,USDC总流通量为523亿美元,储备量为524亿美元,其中现金104亿美元,短期美国国债420亿美元。[2022/8/28 12:53:21]

操作难度-奖惩机制以太坊2.0引入了惩罚机制,还细分成slashing和inactivityleak两类。Inactivityleak要求验证者持续在线,不然会导致不作为惩罚。如果验证者出现了双重投票或者循环投票,那可能被罚没,如果罚到低于16eth,会被踢出验证者队伍。所以惩罚机制是抵押最关心的问题,这也使得很多用户退而求其次,选择stakingprovider,但即便如此,还是对slashing最为关心。

用户最关心的三大功能:1)非托管钱包;2)罚没机制;3)复合收益率因为惩罚和罚没机制存在,ETH2.0也提供对应的正向奖励,下面进行一下介绍:反向惩罚不在线罚没inactiveleak:不在线罚没主要是针对验证人不在线的情况,基本是两种模式:1)单纯的错过了一些出块的验证,这样只是失去应得的出块奖励,正常的比如线下维护是可以接受的;2)还有就是以太坊2.0需要全体2/3验证者在线的需求,是为了保证整个网络的安全性。所以当有大规模的验证者在线下的时候,这样系统就会自动减少不在线验证者的资金余额,直到线上验证者的资金余额超过全网2/3,这种情况可能发生,但是概率不大,比如出现世界灾难的情况;3)还有一种极端情况,是不在线和退出-加入的情况,可能会引发类似Cosmos第一次slashing一样的惩罚,即两个验证者分别验证不同的交易或块,虽然并非故意,还是遭遇到了系统的slashing。惩罚slashing:重复投票doubletargetvote。重复投票的极端情况可以变成PoW型公链的双花问题。主要是指验证者在一个epoch中分别投票给了不同的区块,会造成一下出两个块的的情况。如果是一个验证者用一个Ether分别交易两次,然后分别投票给两个区块,这就会变成双花问题。但是防止二次投票主要不是为了双花问题,而是防止被攻击。重复提议doubleproposal。重复提议是指提议者proposer在一个slot里提出了两个不同的区块。循环投票surroundvoting。循环投票有一些类似,但是可以是不在一个epoch,比如一个投票者在一个epoch投给了一个链,但是在之后epoch投给了另外一个链,表示他同时认同几个链的事实。循环投票将导致长程攻击的出现。这两类惩罚在Phase0就会出现,之后会根据分片出现更多的奖惩机制。正向激励正向奖励也分成三种,前两种和slashing相关,第三种分成五类,为一般验证者奖励:举报者奖励:当一个验证者可以提供其他验证者违规行为出块者奖励:那些验证者会被随机选为proposer,以获得出块奖励。可以优良中获取奖励的方式:加入有效举报的证明;加入其他验证者的新的验证attestations。举报的奖励会按照7/8和1/8分别分配给举报者和出块者,但是在Phase0阶段,全部奖励只会分配给出块者。
元宇宙AR创企LivingCities.xyz完成400万美元Pre-Seed轮融资:5月29日消息,元宇宙AR初创公司LivingCities.xyz宣布完成了一笔400万美元的Pre-Seed轮融资,DCVC风险投资家Ali Temaseb等参投。LivingCities.xyz由AR云基础设施公司6D.ai创始人Matt Miesnieks和Foursquare联合创始人Dennis Crowley等人创立,旨在通过开放Web3协议创建一个3D空间。Matt Miesnieks此前创立的6D.ai已被《精灵宝可梦Go》开发商Niantic收购。(VR Times)[2022/5/29 3:48:46]

举报的奖励证明者奖励:证明者奖励是指一个验证者同意一个2.0中的决议,这类奖励也分成五类:包含所有验证;指定正确的检查点验证;制定正确的区块链头验证;链上迅速验证;在指定分片中指向正确的区块。这五类奖励都和基础奖励basereward挂钩,基础奖励的计算方法如下:

其中有效余额为每个验证者有效抵押余额,基础奖励因子为一常数,总余额为所有验证者有效余额之和,单epoch基础奖励也为一常数并反映了一个epoch内的奖励之和。每种奖励具体计算可参加CodeFi报告。为什么需要惩罚和罚没?Slashing是ETH2.0中争议比较大的一个设置,但是以太坊基金会在阐述CBCCapser时也明确提到,启用Slashing的意义在于以下两点:抵御攻击。Slashing让51%的攻击要消耗大量成本,而且攻击后可以迅速恢复。这样让攻击者的成本提升到比获得更多,让攻击者选择去做验证者。客服验证者困境。验证者的不作为是是验证者困境中的最大的问题,对错误事项进行签名进行惩罚可以有效缓解。长期锁仓的风险和解决办法长期且时间不确定的Ether锁仓是妨碍用户质押ether的一个比较重要的原因。在2.0的Phase0阶段,Beacon链的质押是一种单向不可逆的过程,用户质押的32个Ether将无法交易,虽然可以有staking的补偿,但是用户没有办法自由转账,所以这也会妨碍大众转入Beacon链的意愿,因为这关乎Beacon的启动是否可以以最低限度开始16,324个验证者或者524,288个ether的抵押。Consensys的研究提到目前有像liquiditystakingworkinggroup这样的组织在研究流动性质押的课题,将可以应用到Beaconchain质押上,但是会面临价值的可分离性,质押/流动比率,和验证者转换风险等问题,这都是值得探索的方向。Liquiditystaking,就是指用户可以在staking的同时,可以获得staking资产的流动性,并且可以把staking作为一种质押资产。将有两类方式进行流动性的质押,一类是中心化的方式,包括矿池、钱包或者交易所等,通过大量质押完成流动性的切换,用户可以直接在场内就完成流动性的管理和交易。另一类就是去中心化的方式,通过智能合约完成,也就是到Phase2才可以实现。所以目前来看中心化的方式先发优势很大。当然中心化矿池或者交易所如果做大,过于中心化也比较有问题,比如交易所利用质押Token去做一些合约用户意愿相反的方向的投票,甚至大的矿池联合贿选等。反倒是去中心化的方案基于Eth2.0,属于生态内的一部分,有可能会受到社区的支持,只是看用户到底选择经济利益还是治理权力罢了。目前大部分用户更关心经济,但是不代表以后治理层面的因素不重要。我们了解到目前可以解决流动性锁仓的方法基本上只有一种,就是在Ether锁仓的时候,托管方(可以是验证者也可以其他合作方)同时发一个流动性的Token,将以太坊挖矿的权益赋予到这个Token中,这个Token也可以流通。因为将有很长时间的BETH锁定期,所以这个新发Token的活跃时间会很长,不仅具备期货属性,还具备一定的债券属性,类似一种2年到期的国债期货,将成为一个很大的市场。从服务的全面性来讲,中心化的服务仍然是最有可能跑出的。会涉及到发Token、流转、回收、对付以及staking服务,所以中心化的交易所、钱包或者托管方,最有可能把这些服务集成起来,是相当大的一块新增份额。也有一些去中心的项目开始做2.0的相应的流动性服务,比如Rocketpool,通过智能合约,发行代表BETH的Token,连接用户和nodeoperator。相当于基于智能合约的一个流动性的插件,用户和stakingprovider都可以接过来,获取Token奖励。但由于只有到2.0才可以实现智能合约,所以市场节奏并不占优。以太坊2.0的商业意义和机会
以太坊2.0的上线对于整个区块链生态,都是一件积极的事情:第一,以太坊2.0将实现更高的安全性和可用性,证明了区块链可以作为世界计算机去承载应用。以太坊的商业模式一旦证明是成熟的,整个区块链将进入主流商业社会,VC/PE的融资将加速。第二,目前没有看到以太坊达到2.0以后还有什么计划,宁静或许就是最终的阶段。因为开发时间周期长,为整个区块链提供了详细的参照样本,后起的新链可以持续吸取经验。第三,互操作性的链可以和以太坊直接交互,大规模的资产迁移和应用迁移成为可能。第四,分片链有更大的包容性,各类链也可以选择成为以太坊生态的一部分。对于以太坊本身来讲,可以实现更多商业层面的实现:第一,DeFi将可以在用户层面和CeFi竞争一下了。目前DeFi各个方面的表现,仍然不可能和CeFi相比,原因确实是底层太慢,导致应对极端事件不利,而且易用性还达不到互联网产品的门槛。第二,之前火过的Dapp可以重新登上舞台了,甚至可以从分片链的角度重新建立专属的应用链。第三,以太坊2.0可以变成资产上链的最佳选择,绝对安全、全球通用的平台。预计以太坊上承载的链上资产将爆发,很大概率超过以太坊的市值本身。第四,以太坊的状态变得宝贵,可能会出现新的租赁业务模式。虽然目前在这个阶段还看不到具体的很有希望的方向,真正有想象力的是当多类别、高价值资产开始在链上运作时,生态系统会开始量变引起质变,比如AMM类型的交易市场可能会从中心化交易所那里拿到更多的份额。另一个要思考的问题是,区块链的互操作性会否造成造成虹吸效应,比如说链上的资产通过跨链都集中在以太坊上,这可能对一些二线的公链影响比较大。实际反映是市场更喜欢流动性更好的映射资产而不是实际资产本身,因为映射资产处于更安全,更去中心化,流动性更好的市场,以太坊2.0可能会变成了一个多资产类别的交易市场。
标签:以太坊ETHINGETHE以太坊币价格今日行情价格美元ETHS币Chainge FinanceEthereal对应情侣名
作者|如仔出品|奔跑财经几个月以前,全球DEX交易量每天不超过一千美金,而到今天,因为流动性挖矿而使交易量上升到两亿美元一天.
1900/1/1 0:00:00这是Polkadot共识系列文章的第4部分。有关简介,请参见第1部分,有关GRANDPA的讨论请参见第2部分,有关BABE的讨论请参见第3部分.
1900/1/1 0:00:00区块链技术被誉为继蒸汽机、电力、信息和互联网科技之后,目前最具潜力触发第五轮颠覆性革命浪潮的技术。作为改变世界的高新技术之一,区块链技术众望所归,在2020迎来了它的爆发之年.
1900/1/1 0:00:008月11日几乎所有的投资市场都发生了大跌。首先是国内A股上证指数跌了1.5%;接着贵金属市场黄金和白银大跌,黄金跌去了将近100美元从2050美元左右的高位跌至写稿时的1911美元;白银从接近2.
1900/1/1 0:00:00北京的天空又下起了雨,我刚刚和一个老友见面,他一直是我佩服的人才。可是这次见面他的心情却布满乌云,我听了他给我讲的故事,征求了他的意见,在此把这个故事给大家分享出来,可以给大家一些警示.
1900/1/1 0:00:00编者按:本文来自链捕手,作者:龚荃宇,Odaily星球日报经授权转载。在DeFi狂欢中,YamFinance是一个相当神奇的项目,它没有明确的项目路径、没有经过代码审计,但仍然吸引了大批用户的参.
1900/1/1 0:00:00