编者按:本文来自链闻ChainNews,撰文:LeoZhang与KarthikVenkatesh,分别为算力及衍生产品研究机构AniccaResearch创始人与数据分析师,星球日报经授权发布。科学方法试图了解事物的本质,而炼金术则寻求让事物变成人们想要的样子。换句话说,科学的主要目标是真理,而炼金术的目标是获取可操控的成功。**乔治·索罗斯《金融炼金术》**算力的经济价值
比特币是一种新的计算范式。它将存储、通信和计算从特定的硬件中抽象了出来。所有节点对每一笔交易、新的区块进行独立的验证,以最大计算能力对链作出选择。比特币无需中央协调即可实现状态的复制。但是其设计上的取舍特点亦很鲜明:为了让所有参与者获得数据库的完整副本,必须让消息和数据存储冗余。无论对链上性能做多少优化,这种冗余都是不可避免的。该系统的目的不是要实现比传统的分布式计算更高的效率,而是要对计算流程完成的方式形式化和公开化。我们为什么需要一个高度冗余、效率低但完全透明的计算范式呢?在传统的分布式系统中,所有节点及其协调规则是由基于分布式系统提供数据存储和访问其服务的通道。与之不同,比特币网络的共识和交易规则被一致遵守,但节点之间却存在异质性。其交易是由全球范围内具有不同网络速度的匿名参与者零星发起的。在传统异步分布式系统中不存在单一时间来源或权威的协调员,基本上不可能确定某一笔交易具体是在什么时间点发生的。比特币通过工作量证明解决了时间协调这一棘手问题,工作证明这种机制可以证明一定量的计算资源被使用了一段时间。正如GregoryTrubeskoy解释的那样,「找到一个符合答案的哈希值,这一工作的难度扮演了钟表的角色。」通过这个去中心化钟表的滴答声,交易区块被打上了时间戳,这样一来,一个P2P网络就能有效地协同工作了。算力把多个交易的顺序凝结在账本上,使比特币能够将信任自动化,并在能达到结算能力得到强力的保证的前提下,独立地促成了价值的转移和存储,且有强力的保证。结算保证是一个结算网络能被采用并长久运作的关键基础。当多个交易的顺序难以被篡改时,这种结算保证,或者说经济最终性,就被认为是足够强的。当区块链趋于普及,当网络的算力不断积累,工作证明「附带的能量」就增加了区块的经济权重。获取51%+的全球算力发起攻击,其成本就会变得过于昂贵。一切经济活动都会流入结算网络。Saifedean在《作为一个结算网络的比特币经济学》中认为,由于成本更低、更可验证,且没有交易对手风险,比特币处理大型结算的能力优于中央银行和金融机构之间的请结算系统。美国联邦结算系统每天处理的金额超过2万亿美元。但只有少数几家特许的银行可以从这一顶层经济活动中积累的价值中获益。而在比特币区块链中,任何人都可以通过贡献计算来维持比特币的心跳,作为回报,人们将获得一定份额的经济价值。算力确保了比特币网络的安全,反过来,算力的经济价值从根本上由网络上的经济行为所驱动。这就是比特币范式将能源与数字化信息联系起来的桥梁。这就是算力的阴阳两仪。
Yuga Labs同意收购Roar Studios,将致力开发Otherside:7月31日消息, Yuga Labs同意收购Roar Studios,具体收购金额暂未披露,据悉,Roar Studios为一家融合游戏,社交媒体和元宇宙的公司。Yuga Labs首席执行官Daniel Alegre表示:“Roar致力于创造性内容创作和社交,这将加速我们在更广泛的范围内实现对Otherside和Yuga生态系统的大胆愿景”。收购完成后,Roar Studios首席执行官Eric Reid将担任Otherside总经理。(PRNewswire)[2023/8/1 16:10:05]

算力资产类别
我们将所有产生算力以换取加密货币的资产,以及通过模拟挖矿回报率的合成的合同/金融工具,定义为算力资产。尽管历史很短,但是投资这一资产类别已越来越热门。为了满足这一需求,涌现出许多特殊目的实体、垂直化的挖矿机构挖矿基础设施/服务提供商,还有与挖矿有关的金融合同。在本章中,我们将描述不同类型的算力资产的关键特征、它们作为金融工具的本质,以及每个市场载体目前所面临的挑战。矿机市场
与挖出的纯数字商品不同,矿机的运营会受到品质和位置等物理属性的极大影响。算力的生产涉及许多外在因素,比如芯片设计、流片、供应链、电力和矿机维护。

新产品通常安排在中国西南丰水季之前发布,以吸引矿工的兴趣,新机器公开后一般会立即售罄。矿机制造商会收集大型矿场和分销商的意愿以确定预购订单,只有一小部分机器用于在线零售。最新一代的矿机通常在产品公布后约6个月才会发货。从矿机制造商那里购买新矿机,类似于在1980年代之前购买石油定期供应合同。石油卖家同意在将来某个具体日期向某位买家提供特定数量的石油,而且价格由石油卖家单方面决定。2018年之后,矿机制造商在库存管理方面越来越谨慎。矿机制造商仅在订单确认并汇总后才开始组装矿机,而买家通常需要等待2-3个月,这是物流时间。由于制造商只向公众发售一小部分机器,零售购买者通常只能通过分销商才能买到矿机,并需要支付一笔溢价。如果分销商有库存,好处是买家可以尽快获得矿机。基于分销商的地理位置和库存状况,同一款矿机的价格可能会有很大差异:
Gemini:Genesis向3AC提供的不负责任的贷款最终导致公司破产:金色财经报道,Gemini已对DCG及Barry Silbert提起欺诈诉讼的指控中,特别指控Genesis歪曲其风险管理流程,向包括3AC在内的交易对手提供巨额贷款,部分原因是这些交易对手受益于DCG的另一家子公司GBTC。该诉讼详细说明了向3AC提供的总计23亿美元的贷款,并表明这笔交易的抵押品价值不到贷款总额的50%。该抵押品的一部分实际上是GBTC的股票。
在此期间,3AC的交易策略主要集中于尝试通过交易NAV溢价来套利GBTC的价值差。最终,GBTC将以低于资产净值的价格进行交易。该诉讼称,正是这些向3AC提供的不负责任的贷款最终导致Genesis破产,而这些贷款的动机是它为Barry Silbert和DCG带来了利益。DCG表示其向Genesis注资11亿美元是为了掩盖破产。这笔注资是一张2032年到期的期票,从表面上看,它可能改善了Genesis的资产负债表,但主要代表了未来支付现金的承诺。根据公认会计原则(GAAP),此类票据被归入“流动资产”类别,该类别通常排除附属公司的长期资产。为了掩盖这种错误分类,它被排除在该类别的平均贷款期限之外。[2023/7/8 22:25:16]

来源:asicminervalue.com二手矿机也有相当大的二级市场。交易二手矿机需要丰富的经验。市场的信息是高度不对称的。交易通常是点对点的,卖家往往比买家更了解矿机的质量。二手矿机通常已过保修期,跑不出预期的哈希率的情况并不少见。更不用说有些卖家是彻头彻尾的子。从分销商或二级市场购买矿机产品时,重要的是选择信誉良好的可靠分销商和渠道,并在合同中明确承诺,矿机若延迟到货或达不到预期性能时,应如何进行赔偿。众所周知,矿机市场缺乏流动性。部分型号的矿机更容易通过二级市场买到,因为它们的活跃时间已经比较久或产量更高。矿机是一种大宗商品。不同制造商生产的功率相似的矿机,可能在制造商网站上的单价大体差不多,但到了二级市场上,一切都由供求关系决定。所以尽管神马和嘉楠耘智过去两年迅速蚕食了比特大陆的市场份额,2020年迄今为止,矿机二级市场上的交易仍由比特大陆的矿机占据主导地位。

美SEC前互联网执法办公室主任:加密交易平台正处于美国监管/执法部门的围攻之下:金色财经报道,美国证券交易委员会前互联网执法办公室主任John Reed Stark表示,我的看法是,美国证券交易委员会在他们与加密货币相关的执法工作中是正确的,加密交易平台都是高风险、危险且本质上不安全的,这是不言而喻的,加密货币交易平台正处于美国监管/执法部门的围攻之下,这才刚刚开始。
Stark声称,不仅在客户保护方面存在差距,而且存在鸿沟,加密货币交易所缺乏记录保存以及定价或订单流的要求。此外,他声称他们没有内在的理由遵守美国的法规和规则,反对市场操纵、内幕交易、与客户交易和其他负面行为。[2023/6/11 21:30:05]
来源:LuxorMining算力的维度
有许多因素会影响矿机的价格。在本节中,我们将为算力的评估构建一个简单的近似模型,并拆解其如何伴随基础变量的变化而作出响应。算力的价值随比特币价格、网络算力和交易费的变化而波动。使用Hashrateindex上的矿机数据,我们可以比较一下,不同矿机的历史价格的变动与这些变量之间的关系:

数据来源:Hashrateindex,Coinmetrics

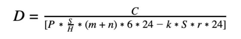
比特大陆的S19和神马M30矿机由于上市时间较短,未包括在内毫不奇怪,矿机价格与单位挖矿收入的轨迹最接近。但这并不能帮助我们了解与运行算力相关的开销。在当今市场上,评估算力最流行的指标是静态的盈亏打平天数,中国挖矿行业尤其看重这一指标。它易于计算,凭直觉就能理解。类似于「隐含波动率」是期权交易员做估值的近似方法,回本天数已成为矿机估值的流行近似方法:

在上面的公式里:D是静态回本天数d是提前支付的资本支出p是BTC当前价格S是已购买设备的哈希率H是全网哈希率m是coinbase奖励,目前为6.25BTC.n是当前每区块的平均交易费k是矿机的效率(J/T)r是全部的电力成本($/KwH)r在不同数值下,回测一台S17矿机的静态回本天数:
今日恐慌与贪婪指数为26,恐慌程度微涨:金色财经报道,今日恐慌与贪婪指数为26(昨日为27),恐慌程度微涨,等级仍为恐慌。
注:恐慌指数阈值为0-100,包含指标:波动性(25%)+市场交易量(25%)+社交媒体热度(15%)+市场调查(15%)+比特币在整个市场中的比例(10%)+谷歌热词分析(10%)。[2022/12/4 21:20:57]

这是一种静态计算,没有捕获矿机随基础变量变化而变化的期权价值。该指标有两个组成:收入和成本。在投资挖矿之前,大多数矿工了解其成本结构。而在矿机的使用寿命内单位成本是固定的。而收入,则由三个随机漫步的变量决定:

我们可以考察一下回本天数这一指标的敏感性,方法是看让它对每个变量的偏导数。这类似于期权对冲值,该指标衡量的是,当标的资产的价格发生变化时,期权的价值会如何变化。所得结果的绝对值越高,回本天数对价格变化的响应速度就越快。对价格变化的敏感性的公式如下:

采用以上公式,我们可以估算出该指标对BTC价格的敏感性:

该图显示,随着BTC价格的上涨,回本天数对价格的变化渐渐变得更敏感。S9矿机的敏感性的变化速度快于另两款机器。需要注意的是,价格、网络算力和费用是相互关联的。但如果没有dH/dp或df/dp的显函数,我们假定各变量是相互独立的。相同的分析可应用于全网算力的变化:

对全网算力变化的敏感度:

Yuga Labs旗下NFT系列日交易量激增,BAYC日交易量达到1,262ETH:11月28日消息,Yuga Labs旗下NFT系列日交易量激增,其中BAYC的日交易量为1,262ETH,MAYC的日交易量为1,146ETH,BAKC的日交易量为340ETH。据悉,Horizen Labs此前发布计划,12月5日将上线Apestake.io网站,并开始预存款;12月12日开始累积质押奖励。此外,在过去的24小时内,所有NFT市场的交易总额超过15,000个ETH(约1,820万),平均交易价格为0.31ETH。44.7%的ETH交易量来自OpenSea,34.9%来自Blur,10.4%来自X2Y2,8%来自Looks Rare(NFTgators)[2022/11/28 21:06:21]
接下来,对于不同coinbase奖励下的每区块平均费用,敏感度情况怎样。随着比特币挖矿的区块奖励按计划减少,交易费在挖矿收入的来源中扮演着更为重要的角色。S19Pro矿机的敏感度如下:

尽管回本天数是一种简单而直观的衡量矿机性能的静态指标,但它去除了矿机固有的期权价值,因此该指标本身具有很大的波动性。为了给算力创建一个更严格的估值模型,我们需要将其视为一个多变量的期权,以此捕获未来的不确定性,另一种方式是用一篮子不同的工具对其进行合成。这些评估方法各有利弊。我们打算在未来的有关「算力市场的架构」的一篇文章中讨论这些取舍,并解释每种方法的数学原理。此外,我们还会介绍其他的「算力希腊字母值」,例如gamma和theta。合成的算力
除了财务评估的复杂性,购买和运行矿机还面临许多运营方面的挑战。对于零售买家而言,这一过程可能过于艰辛、难以掌控。一种参与挖矿的更简单方法是购买云挖矿合同。云挖矿是算力衍生产品的一种原始形态,它将矿机的未来生产与其当前物理位置分离。在本节中,我们将介绍合成算力的几种不同变体。过去几年,无数的云挖矿项目如雨后春笋般出现,又悄然消失。云挖矿的困境在于,由于大矿工自行挖矿的利润更高,该市场只能针对零售买家。但是,评估这些云挖矿合同却需要大量挖矿产业的内行知识,以及对复杂期权定价的专业知识。尽管从理论上讲,云挖矿概念代表了资本市场自然发展的下一步,但是因为上述原因,当前大多数云挖矿项目都被视为「局」。作为一个尚不成熟、规模仍较小的领域,云挖矿市场因完全缺乏市场标准而饱受困扰。HoneyLemonMarket是一个出色的云挖矿数据收集器。使用其仪表盘,我们可以看到不同云挖矿平台在合同条款和价格方面有多大的差异:

目前大多数云挖矿合同是不赚钱的。由于内置了基于生产成本的溢价,只有在非常特殊的市场里,云挖矿才会产生利润。通常来说,当加密货币长时间的价格低迷后价格趋势开始逆转为一个自然牛市时,条件就合适了。对算力的需求会突然增加。由于购买和安装矿机花费很长时间,所以购买云挖矿合同就成为快速建立头寸的一种方法。通过云挖矿,投资者还可以接触尚未在交易所上市的新启动项目。另外,黑客可以租用哈希率对小型网络进行51%攻击。这被称为算力达尔文主义,即淘汰掉设计欠佳的PoW项目。另一种合成算力资产是矿机代币。它们是代表一台矿机的一部分权益的流动性代币。交易者押注的是矿机二级市场的波动性,而不是投资于矿机生产的币。虽然这个概念已经出现一段时间了,但其交易量并没有太大增长。这主要是因为,挖矿收入的多变量特质使得投机者很难就「流动的矿机」之定价达成共识。经验丰富的交易者可以构建合成算力资产组合。例如,可以在做多一个云挖矿合同的时侯,同时做多加密衍生品交易所的一个隐含哈希率期货,并在BTC现货期货中增加一个空头头寸。有多种创造性的方法可以利用金融工具来构造挖矿投资组合。对于不想拥有和运营硬件的基金和交易机构,这是获取挖矿敞口的一种更轻松的方法。以下是资产组合的变化情况:

基于波动的幅度,当价格和难度呈反方向变化时,「做多云挖矿合同」最有可能产生盈亏在实践中,构建这样的投资组合是一项非常复杂的任务。正如回本天数的敏感度分析所显示的那样,随着市场的变化,挖矿指标的敏感度会快速发生变化。每种工具的对冲比率都要不断更新。管理还需要密切跟踪并经常调整。况且现实中还存在许多限制,例如流动性差和定价模糊。在进行风险计算时,交易者需要准确了解他们在哪些方面会有摩擦并该做什么样的折扣因素计算。通过构建一种虚拟化的算力投资组合而非真正的经营挖矿,投资者挖矿的经营风险转换成了额外的财务风险。矿工对冲其敞口还有一种新方法,那就是算力远期合同。类似于在云挖矿平台上租用算力,远期合同让矿工可以在一定时间内以固定价格出售固定数量的算力。与云挖矿不同,它们通常是结构化的场外交易,并且具有较高的自定义灵活性。但是,由于没有公开基准,远期合同市场也没有任何确定的定价框架。每笔交易都会变成一次谈判,执行交易的部门不可避免地要承担一些市场风险。最近有一个引人注目的成功范例,即数字资产金融服务公司BitOoda与纽约大型挖矿企业CoinMint之间的交易。随着更多的交易所/金融服务机构与矿池进行垂直整合,这类交易将更频繁地发生。矿池是出色的矿工流量的聚合器,但经过多年的发展,它们已转变为商品化的软件。所有人都希望捕获矿工的交易量。交易所强大的流动性储备使其能够提供创造性和具有潜在风险的交易类型,以赢得矿工的交易流。矿工可以设置参数,比如始终出售一定百分比的算力,来锁定运营费用方面的支出,而其交易对手则从矿池中拿走由该算力生产出来的币流。例如,矿工可以在每月的月初预售30天100Th/s的算力。基于预估的难度增长和费用方面的假设,矿池提出支付0.02BTC的预付款。矿工将锁定整个月100Th/s算力的生产,实际是上将生产风险转移给了矿池。

数字仅用于演示目的币安、OK和火币正积极扩大其矿池业务,抢占市场份额。我们预期其它大型交易所也会跟进,或者很快会与现有矿池经营者结盟。除交易所外,部分贷款机构和交易机构也在这一方面进行探索:贝宝金融发布了其以太坊矿池,ThreeArrowsCapital将通过币印矿池推出结构化金融产品。在过去,加密货币行业的不同层级呈现高度孤立碎片化的状态。经过多年的试错,关键基础设施层变得越来越标准化和商品化。其中某些独立的基础设施的商业模式并没有竞争力。那么,整合或垂直化就不可避免了。算力投资工具
投资挖矿是一项全职工作。多数传统投资者和风险投资机构没有足够的时间,资源或专业知识来运行矿机或构建复杂的虚拟化算力组合。他们一般都通过挖矿SPV或挖矿企业来获得挖矿的敞口。2019年初,我们看到一大波炒作过度的GPU启动的项目。有一个谣言如野火般传播,即财大气粗的风险投资公司在Grin上投资了数亿美元。使得2018年第四季度惨淡收场的GPU矿场又重新复活、驾驭潮头。投资者想建立大的头寸,但又没有人力或技术专家来运行矿机,他们最终选择将资金聚在一起以投资挖矿业务。SPV的管理者们利用投资者的初始投资来采购和运行矿机,他们也拿走了挖矿收入的一部分。在大型BTC运营中,投资于挖矿企业也很常见。其中一些已经成为上市公司。挖矿企业每天会生产大量的币。所以一家挖矿企业既是一家硬件运营者,也是一家流动基金的管理者。许多资本雄厚的挖矿项目,却由于交易头寸管理不善而失败。一个臭名昭著的例子是2018年美国比特币矿业先驱GigaWatt在华盛顿申请破产。根据法院文件,该公司在宣布破产时,「估计其资产价值不足五万美元,而估算的负债在一千到五千万美元之间」。运营者如何管理现金流,是一个至关重要的问题。制定一个合理的卖出策略以应对市场状况的变化,这对于基金/公司的财务成功是至关重要的。下面我们列举了四种典型策略的回测结果:假设:起始日期:1/1/2019估值日期:7/1/2020初始投资:$1,000,000矿机数量:4840台S9,购买时每台单价$206.6。线性折旧算18个月以上。总算力:67,761Th/s总耗电:6,389KW电费均价:$0.04/KwH

以上演示的四种策略代表了BTC与USD头寸的不同风险偏好。请注意,如果换另一个市场环境,产生最高回报的那个策略可能变成获利最少的。有部分矿工更偏向于,不论市场如何都坚持持币,直到他们被迫售出为止。基于管理者的目标,策略应作出相应调整。配备优秀交易员的挖矿企业还可以在高价时卖出获利,并在价格跌至低于生产成本时将其回购,或采用抵押贷款、比特币期货等金融工具的组合,以防止负面风险。我们将在以后一篇名为hashpowerfinancializationandriskmanagement的文章中更深入地讨论该主题。算力资产简单小结

在第二部分中,我们将探讨推动挖矿趋势的各个变量的内部逻辑,并介绍反身性在算力市场中如何发挥作用。我们将拆解在这些复杂的相互作用中浮现的宏观周期模式,并使用真实的市场范例来演示其潮起潮落。
标签:比特币BTCETHABS比特币行情分析及最新消息新闻btc币汇率ethylmethylketoneLavaX Labs
众所周知,股权道一直在从股权律师视角,详细分析比特大陆股权争议,这篇文章是最新、最清楚、最详细的一篇,吴说独家授权发布.
1900/1/1 0:00:00这两日,与牛市一道被疯传的是一则“美国联邦法院认定比特币属于‘货币’”的消息。据报道,美国联邦法院周五表示,比特币是华盛顿特区《货币传输者法》所涵盖的一种“货币”,因此,拒绝驳回针对一家地下比特.
1900/1/1 0:00:00为什么要制定区块链标准?为什么要积极参与国际区块链标准制定?为什么要掌握区块链标准方面的国际话语权?制定区块链标准的意义又是什么?大家可以带着这些问题跟52cbdc一起来看今天的文章~我国区块链.
1900/1/1 0:00:00此前,比特币交易所运营商LarryDeanHarmon被控以及无牌经营汇款业务,但辩护方认为比特币不属于范畴,因此提出撤销刑事指控.
1900/1/1 0:00:00编者按:本文来自巴比特资讯,作者:ClaytonRoche,译者:Kyle,星球日报经授权发布.
1900/1/1 0:00:00本文来自:哈希派,作者:哈希派分析团队,星球日报经授权转发。
1900/1/1 0:00:00