TL;DR
在上一篇文章Hello,OlaVM!中提到,OlaVM的愿景是建立一个高性能的ZKVM,本文将重点介绍使得OlaVM获得高性能的工具之一,Lookupargument。Lookupargument对缩减电路规模,以提高ZK效率有很重要的作用,在ZKVM的电路设计中被广泛应用,通过本篇文章你可以了解到:
1.Lookupargument在ZKVM中将发挥着怎样的角色?
2.Plookup协议原理。
3.Halo2的Lookupargument协议原理。
4.两个Lookupargument算法之间的联系。
TherolesinZKVM
所谓的ZKVM,其实就是用ZK约束VM所有的执行过程,VM的执行过程一般可以分为:指令执行,内存访问,内置函数执行等。在一个trace里执行对这些操作的约束看起来有点不切实际,首先,不同操作类型的约束对应不同的trace的宽度,如果其中一个约束对应的trace宽度特别大,就会造成其余约束对应trace的浪费;然后,一个trace里有太多不同的操作类型,就会引入更多的selector,不仅会增加多项式的个数,而且还会增加约束的阶;最后,由于群的阶限制,trace的行数不能超过这个群的阶,因此,应该尽量减少某种类型的操作所占用的trace行数。
开发元宇宙联盟成立,Animoca Brands、Yuga Labs等参加:11月1日消息,开发元宇宙联盟近日成立,该组织将由DAO进行管理,意图在各元宇宙之间建立标准。目前该组织正设立工作组以探讨与Web3有关的法律问题。目前成员包括Animoca Brands、The Sandbox、Alien world、 Dapper Labs、 Splinterlands、 Star Atlas、Upland、Decentraland、Cryptovoxels、Superworld、Wivity、Unstoppable DomainsYuga Labs等。[2022/11/1 12:05:30]
因此,为了简单,我们需要:
a.把不同的操作类型分成多个子trace,然后分别证明,主trace和子trace之间需要通过Lookupargument来保证数据的一致性。
b.对于一些ZK-unfriendly计算,我们可以通过Lookupargument技术来缩减trace的规模,比如位运算等。
当然,也有其他的一些技术手段来减少trace规模,我们将在后面的文章中给予说明。
Lookupbetweentracetables
体育和娱乐公链Chiliz宣布开始Scoville测试网第4阶段:10月24日消息,据官方消息,体育和娱乐公链 Chiliz 宣布开始 Scoville 测试网第 4 阶段 CAYENNE。目前开发者指南和 GitHub repo 已经发布,用户可根据指南运行 Scoville 测试网节点。[2022/10/24 16:37:08]
VM所有的执行过程会组成一个完整的trace,称为主trace,这里的完整是包含VM执行的所有状态,不会涉及到辅助状态,比如,方便ZK验证的一些扩展信息等;如前面所述,在主trace里面包含这种辅助信息,会使得主trace变得复杂,难于约束。因此,为了约束方便,通常会建立一些子trace,然后分别针对这些子trace进行约束,而主trace主要用来进行执行正确的程序约束和Context约束。
图片1.Lookupbetweentraces
通过建立不同的子trace,我们把VM执行的不同操作进行划分,通过Lookupargument技术来保证了子trace的数据源于主trace。对于子trace里的数据有效性证明,需要根据具体的操作类型,生成不同的trace,然后用对应的约束去证明trace的有效性;特别是对于bitwise,rangcheck等zk-unfriendly操作。
距离在ETH合并还有不到40000个区块:金色财经报道,距离ETH合并到权益证明之前,还有不到40000个区块。[2022/9/9 13:18:06]
LookupforZK-unfriendlyoperations
如前面所述,每个子trace的证明是独立的,所以获得一个尽可能小的trace,会提高prover的效率。以bitwise为例,bitwise操作包含AND,XOR,NOT三种操作。如果想通过电路单纯的实现对bitwise操作的约束,那需要做的可能是,把每个op拆成多个2进制的limbs,如果这些op是32bit位宽,那就会拆分成32个limbs。然后,你需要约束:

总共占用3+32*3=99个tracecell,约束个数为3次sumcheck+32次bitwise=35个。
如果这个时候有一些真值表,对于AND,XOR,NOT计算,你可以定义三个表,这些表里存的是指定位宽的op进行bitwise计算的数据,比如8bit。对于32bit的op,只需要把它们拆分成4个8bit的limbs,然后这些op的limbs之间的bitwise关系,也不用对应的约束去实现,只需要在fixedtable里进行Lookup即可,此时,总共占用了3+4*3=15个tracecell,约束个数为3次sumcheck+1次Lookupargument。
游戏开发商Regression Games完成420万美元种子轮融资,a16z参投:金色财经报道,人工智能游戏开发商和电子竞技公司Regression Games宣布完成420万美元种子轮融资,New Enterprise Associates (NEA) 领投,Andreesen Horowitz (a16z)、BBQ Capital、Roosh Ventures 和一批天使投资人参投。Regression Games 正在构建平台和生态系统,帮助玩家能够编写代码和人工智能来控制角色、实时调试策略、争夺锦标赛奖品,该公司创始人兼首席执行官 Aaron Vontell表示,他们希望解决涉及元宇宙、线上对战等游戏中遇到的NPC和AI复杂性问题。(gamespress)[2022/8/16 12:27:31]
图2.LookupinArithmeticoperations
Lookupargument不仅对bitwise操作的证明有极大的提升作用,对于rangeck操作同样。对于32bit的op,只需要把他拆分成2个16bit的limbs即可;这里有两个很好的设计,一个是会使得rangecheck占用更少的tracecells;另外一个是rangcheck的sum约束可以复用我们自定义的ADD-MUL约束。对于不同的计算类型,能够复用同一个约束,对整体的效率提升具有很大的帮助,如上图所示,对于自定义的ADD-MULgate,它可以支持ADD,MUL,ADD-MUL,EQ,RANGECHECK五种计算类型的约束复用。
外媒:三箭资本在借贷平台总清算额度达4亿美元:6月15日消息,消息人士透露,三箭资本在Deribit、BlockFi等借贷平台上的总清算额度高达4亿美元。目前三箭资本正在处理其与贷方和其他交易对手方的关系。
据此前报道,三箭资本创始人Zhu Su发推称,我们正在与有关方面进行沟通,并致力于将问题解决。此前市场传言,三箭资本疑似因市场波动出现运营和偿付问题。昨天三箭资本将17780枚stETH换为16625枚ETH,并全部兑换为近2000万枚DAI。(The Block)[2022/6/15 4:28:52]
Plookup协议
介绍

符号说明

预处理

协议过程

协议理解


Halo2Lookup协议
介绍

协议过程

支持ZK

Extend-1:VectorLookup

Extend-2:Multi-tables

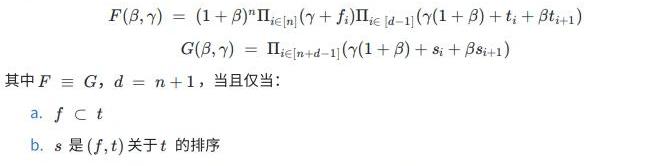
LinksbetweenPlookupandLookup
Plookup协议与Halo2的lookup协议都能证明f?t,但两个协议的思想是不同的,区别如下:
Plookup需要使用f和t构建一个新的数列s,f和t中的元素都在s中至少出现一次,接着通过比较s和t中元素的非零距离集合是相等的来证明s?t,最终f?s?t→f?t。
Halo2的lookup直接证明f?t,不需要构建新的数列,比plookup更简洁。
Plookup和Halo2lookup都需要对集合进行排序和补齐,plookup补齐后|t|=|f|+1,Halo2lookup补齐后|t|=|f|=2^k。
参考
1.Hello,OlaVM!:https://hackmd.io/@sin7y/H1yPj_J8i
2.OlaVM:https://olavm.org/
3.Plookup协议:https://eprint.iacr.org/2020/315.pdf
4.Halo2的Lookupargument:https://zcash.github.io/halo2/design/proving-system/lookup.html
关于我们
Sin7y成立于2021年,由顶尖的区块链开发者组成。我们既是项目孵化器也是区块链技术研究团队,探索EVM、Layer2、跨链、隐私计算、自主支付解决方案等最重要和最前沿的技术。团队于2022年7月推出OlaVM白皮书,致力于打造首个快速、可扩展且兼容EVM的ZKVM。
官网:https://sin7y.org/
白皮书:https://olavm.org/
社群:http://t.me/sin7y_labs
官推:@Sin7y_Labs
微信公众号:Sin7y
邮箱:contact@sin7y.org
研究文章:https://hackmd.io/@sin7y
Github:Sin7y
标签:LOOKTRAOKUTRACElooks币未来一个多少钱TheForce.TradeSokuSwapAttrace
2022年9月28日,亚洲首屈一指的加密货币会议——TOKEN2049在新加坡新地标滨海湾金沙酒店隆重召开.
1900/1/1 0:00:00各位朋友,欢迎来到SignalPlus每日晨报。SignalPlus晨报每天为各位更新宏观市场信息,并分享我们对宏观趋势的观察和看法。欢迎追踪订阅,与我们一起关注最新的市场动态.
1900/1/1 0:00:00据官方消息,Binance.US现已正式上线波场TRXStaking服务,APY高达6.1%。 Binance.US于2019年9月推出,由全球最大的加密货币交易所Binance授权的匹配引擎和.
1900/1/1 0:00:00TetherGold(XAU?)和EuroTether(EUR?)将在火币全球站上线Tether于2022年12月8日在火币全球数字代币交易所推出TetherGold(XAU?)和EuroTet.
1900/1/1 0:00:00Polkadot生态研究院出品,必属精品波卡一周观察,是我们针对波卡整个生态在上一周所发生的事情的一个梳理,同时也会以白话的形式分享一些我们对这些事件的观察.
1900/1/1 0:00:00一、行业动态总结 上周加密市场持续横盘震荡,交易量继续萎缩跑输美股,当前交易所现货日交易量最低下跌至8billionUSD,回到了2019年的水平,市场也在年末持续阴跌.
1900/1/1 0:00:00