1.今日市场概况
今日市场继昨日下跌后小幅反弹,虽然数字资产总市值从回2500亿美元上方,但整体反弹力度不大。截止收稿时间,全球数字资产总市值为2500.85亿美元,相较于昨日的2496.23亿美元微涨了1.28%。
交易量方面,虽今日价格有所上涨,但日成交额仍表现为缩水。截止收稿时间,今日24小时成交额为971.75亿美元,较昨日的1094.83亿美元下跌了11.24%。
消息层面上,《贵阳主权区块链技术与应用》白皮书发布;韩国LG集团子公司开发全球通用区块链身份证明;政协委员:建议京津冀联手加快区块链等产业培育和聚集发展;2021年比特币年度发行率将降至1.8%与黄金开采率持平:易纲:数字人民币何时正式推出尚没有时间表。
BTC突破33000美元关口 日内涨幅为0.66%:火币全球站数据显示,BTC短线上涨,突破33000美元关口,现报33000.85美元,日内涨幅达到0.66%,行情波动较大,请做好风险控制。[2021/7/15 0:53:36]
市场情绪层面,根据Alternative数据显示,今日恐慌与贪婪指数为39,恐慌程度较昨日稍有上升,等级仍为恐慌。

2.资产涨跌分布今日市值前100资产中绝大部分资产均表现为上涨,且大多集中在5%以内。其中,THETA继续保持着连日来上涨的势头,今日24小时放量上涨了18.58%;ENJ紧随其后,24小时也上涨了17.20%,排在涨幅第二;ZIL继昨日短暂调整后,今日放量上涨,24小时涨幅为16.04%;
CROSS盲盒游戏26日10:00启动 总奖池价值1BTC:据官方消息,CROSS由CyberVein基金会支持打造,是首个去中心化的NFT发行&拍卖平台,在1月13日正式上线火币生态链Heco,并于2月26日启动Mystery Box盲盒游戏,截止目前平台已拥有近25万个钱包地址数。
?CROSS前2期盲盒游戏会上线8个与币圈主流公链、项目和媒体合作推出的联名款NFT作品,NFT总价值超500万。每一期上线4个,每个NFT内置一个盲盒,其中只有一个盲盒有价值0.5BTC的大奖,即每个盲盒有25%的中奖率,盲盒只有获拍NFT成功的玩家才能打开。第一期联名合作方为火币生态链heco、Poloniex交易所、MXC交易所和Piction平台。[2021/2/25 17:52:03]
下跌资产中,今日整体资产跌幅较小,TFUEL继前两日大涨后,今日小幅回调,24小时下跌了12.33%;REN排在第二,今日跌幅为7.51%;其余下跌资产整体跌幅均在5%以下。
24小时合约市场爆仓超9936万美元 BTC合约爆仓9308万美元:据合约帝行情统计报告显示:过去24小时合约市场全网总计爆仓9936万美元,爆仓人数5215人。其中Huobi 爆仓248万美元,OKEx爆仓2162万美元,Binance爆仓2317万美元,BitMEX爆仓5210万美元。爆仓金额前三的币种是BTC9308万美元,ETH376万美元,EOS87.88万美元。[2020/3/11]

3.交易量分析今日市场小幅上涨,交易量前30资产整体涨跌幅除个别资产大幅上涨外,其余较为均匀。其中上涨资产中,OF今日交易量暴涨,24小时上涨了850.86%,但其价格却出现下跌;ZIL一改昨日颓势,24小时成交额大幅上涨了208.17%至1.3亿美元排在第二;OKB今日成交额也上涨了39.38%,其价格同比小幅下跌;其余上涨资产涨态涨幅较为均匀,均在30%以下。
下跌资产中,今日TFUEL今日24小时成交额缩水50.94%;QC紧随其后,24小时成交量也下跌了37.74%;其余下跌资产成交额均在20%以下。

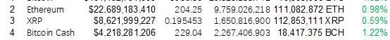
4.重点资产分析今日大盘小幅上涨,主流资产全部上涨。其中BTC今日领涨主流币,24小时上涨了1.52%,现价8930.36美元;BCH今日也上涨了1.22%,现价236.64美元;ETH今日也上涨了0.98%,其价格保持在200美元上方,现价204.25美元;XRP继续保持萎靡状态,24小时微涨了0.59%,现价0.1954美元;BSV受CSW负面影响,价格一直低迷,今日仅微涨0.33%。

5.技术分析

BTC跌破9000支撑位后不规则震荡,后出现大幅反弹,原因是昨日跌幅过大,与交易量增加不成正比,近日出现反弹也很正常,但短期只要回不到9000就是空头市场,高位做空较为安全。
过去10年的比特币挖矿是一场算力的军备竞赛:解决反向SHA256哈希函数难题是一个很容易进行优化的目标,游戏很快就从在CPU上运行发展到在GPU上运行,进而转移到在专门设计的ASIC上运行.
1900/1/1 0:00:00大家好,诚信立本,德行天下,用心研判趋势和分析,传递有价值的投资理念!希望价有所值,值有所得!京东数科近日首度公开区块链联邦学习算法,把联邦学习和区块链结合,并在区块链上构建联邦学习算法.
1900/1/1 0:00:00昨日比特币大涨13%登上微博热搜后,今日截至发文时再涨超过7%,自2月26日以后重新站上9400美元,目前处于暂时的回调中,可以说是强势至极,颇有上不见顶的牛市架势.
1900/1/1 0:00:002020年IPFS稳步推进,Filecoin主网上线倒计时,测试网进入最后冲刺阶段,400万FIL奖励蓄势待发.
1900/1/1 0:00:00扛单是想象战胜了理智,加仓是希望战胜了经验。亏损并不可怕,可怕的是你相信了这句话,市场无难事,只要肯放弃,反思才能成长,而不是坚持.
1900/1/1 0:00:00人生的春天,是初生牛犊不怕虎的年龄,心高气傲,往往不屑于道旁的花草,而一个劲的往前冲。可是,你可曾知道只有从容冷静地欣赏与品味,才不枉青春年少;只有不急于求成,阅尽道旁的百花盛开,林间的绿意盎然.
1900/1/1 0:00:00