关于DAO治理的公平性,一直为大家所关注。DAOrayaki从数据科学的视角,探讨如何量化 DAO 治理的公平性。因此,在本文中,将介绍 3 个指标。
在许多情况下,持有更多的治理代币意味着在 DAO 中拥有更高的投票权。在代币分配方面,可能会有不同的情况。例如,1% 的成员拥有 90% 的代币,或者每个成员拥有完全相同数量的代币。在前一种情况下,DAO 由 1% 的成员控制,非常中心化。在后一种情况下,每个成员在投票中拥有平等的投票权,符合去中心化的本质。
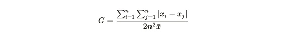
那么我们如何评估代币持有量的分散性呢?这是第一个指标:基尼系数(又称基尼指数),由意大利统计学家 Corrado Gini 开发。这个指标被广泛用于评估收入的不平等,我发现它非常适合我们的目标。
基于比特币的NFT系列“Space Pepes”7日交易量超730万美元,排名第一:5月25日消息,Cryptoslam数据显示,基于比特币的“Space Pepes”系列NFT 7日交易量超过730万美元,目前排名第一。
每只Space Pepes的售价略低于100美元,数据显示,大部分交易量发生在5月19日,此后逐渐下降。[2023/5/25 10:39:57]
下面是基尼系数的公式:

分子是总体(DAO 成员)的所有项目对(代币余额)的平均绝对差值。分母是按 2n2 缩放的平均代币余额。因子 (2n2) 将基尼系数转换为 0 到 1 的范围。
越南电商巨头Tiki推出新的基于区块链的奖励计划:4月22日消息,越南电商巨头Tiki推出了基于基于区块链的奖励计划Shop2Earn,允许客户从他们的奖励积分中获得更多经济利益,旨在提高用户的粘性。此前,用户在平台上购买商品、直接充值到账户或通过礼券赚取Tiki Coin,但是,用户无法交易或转移代币。即日起,Tiki用户将获得Astra奖励,可在Tiki商城进行交易。Astra目前与Tiki Coin挂钩,一个相当于1越南盾,Astra价格会随着在交易所上市而变动。Astra代币可用于购买折扣券,但不能兑换现金。Tiki指出,Astra不是一种虚拟货币,就像任何其他实物资产一样,Astra的价值是根据供求关系确定的。Tiki不打算扩大交易以避免给客户带来风险。(Techinasia)[2022/4/22 14:40:51]
0 表示完全平等,每个成员拥有相同数量的代币。
基于 Hedera 的数字隐私和身份应用 Meeco 获 HBAR 基金会 1 亿美元可持续发展基金支持:3月25日消息,基于Hedera的数字隐私和身份应用Meeco获 HBAR 基金会 1 亿美元可持续发展基金支持。Meeco 推出了代币可视化工具Trustury,该应用可以展示 Hedera 生态项目以及代币的全方位信息,并对项目在与利益相关者的沟通的透明度以及审计方面提供技术支持。此外,Meeco 采用零知识证明技术实现针对不同身份人员对不同内容的访问,保护项目的相关隐私。[2022/3/25 14:17:05]
1 表示完全不平等,每个成员都拥有所有代币。
动态 | 微软、英特尔均已推出基于硬件的以太坊扩展工具:据trustnodes报道,微软和英特尔均已推出基于硬件的以太坊扩展工具。英特尔区块链计划办公室主任Mike Reed表示,微软推出的开源eEVM和可信执行环境(TEE)(如英特尔?软件保护扩展)可通过启用离线以太坊智能合约执行来帮助提高区块链可扩展性和隐私性。随着eEVM转向开源以及EEA宣布推出可信计算API,离线智能合约功能已扩展到任何区块链开发人员。[2018/11/2]
困惑是正常的。可汗学院的这段视频可能会帮助您建立直观的理解。
以下是基尼系数最低的 DAO。如您所见,所有 DAO 的基尼系数都大于 0.76。相比之下,2017年美国的基尼系数为0.434。因此,可能我数据库中的所有 DAO 都比美国更集中。

代币分布按基尼系数排序
不管代币如何平均分配,如果只有一小部分成员参与治理,DAO 仍然是中心化的。投票百分比是在每次民意调查中变化的指标,以下是定义。

每个 DAO 中的平均投票百分比通过治理的参与提供了对权力下放水平的洞察。你甚至可以通过比较投票成员与人口之间的代币分布来更深入地挖掘。这种差异可能表明投票成员是否代表 w.r.t 代币持有量。
在投票方面,多数成员的共识可能会输给拥有更多治理代币(即投票权)的较小群体。成员和代币,哪一个在 DAO 治理中发挥更大的作用?为了量化这种比较,我在这里介绍最后一个指标:协议系数(AC)。
统计中有多个版本的一致性系数。对于这个即将到来的指标,这是我的一个设想,如果您发现它与先前存在的概念冲突,请联系我们?
与投票百分比一样,AC 是特定于投票的。首先,让我介绍两个基本概念:代币率和投票率。

代币率和投票率公式
上面的公式应该很直观。为了使其具体化,下面是一个包含 3 个成员和 2 个选项的示例。

一个投票举例
在本次投票中,选项 2 获胜。所以代币率为6/11,投票率为2/3。要得出一致性系数,您可以使用代币率除以选民率。在这种情况下,AC = 9/11。

协议系数公式
以下是如何解释 AC。在一个完全“公平”的 DAO 中,假设代币和成员在治理中扮演相同的角色,AC 预计为 1。当 AC < 1 时,意味着获胜选项更多地依赖于选民而不是代币。当 AC > 1 时,表明获胜选项更多地取决于代币而不是选民。
原文作者:Sicong Zhao
贡献者:Demo
审核者:DAOctor
原文:How to evaluate the “Fairness” of DAO Governance? From a data scientist’s perspective
5月20日,在广州市天河区元宇宙创新生态大会上,15个元宇宙应用场景建设项目集中签约,涵盖元宇宙实验室、元宇宙+智慧城市、元宇宙线下娱乐空间等;天河区元宇宙联合投资基金正式发布.
1900/1/1 0:00:00进入2022年,投资者放弃了风险较高的投资,加密货币在2022年急剧下跌。但摩根大通表示,在抛售后,它普遍认为比特币和加密市场有“上行空间”,使数字资产成为首选的另类投资.
1900/1/1 0:00:00头条▌ARK Invest向美国SEC提交实物比特币EFT申请5月26日消息,ARK Invest已经向美国证券交易委员会(SEC)提交实物比特币EFT的申请文件.
1900/1/1 0:00:00继互联网大厂、各一线品牌纷纷入局元宇宙后,字节也于近日正式进军这个千亿级别的新市场。4 月 25 日,抖音悄悄开展了一项新业务业务——沸寂(pheagee),该社区致力于「数字时尚」领域的探索.
1900/1/1 0:00:00“元宇宙”(Metaverse)目前已经成为技术和产业领域备受关注的概念,国外头部企业积极进行元宇宙战略布局,如Meta、Google、Microsoft.
1900/1/1 0:00:00整个国际市场熊了,大部分在这一周期里募资、发币的项目,都赚了丰厚的资产。这个时候是不是该专心好好做做项目了?这个问题仍旧没有答案.
1900/1/1 0:00:00