从数学角度论证和解释 Uniswap 创始人与 Paradigm 研究团队设计的全新做市模型 TWAMM 的工作原理。
最近,Paradigm 研究合伙人 Dave White、Dan Robinson 与 Uniswap 创始人 Hayden Adams 一起合作设计了一个全新的做市模型「时间加权做市商 TWAMM」(The Time-Weighted Average Market Maker)。根据其发表文章介绍,TWAMM 可以在以太坊上有效地交易大额订单,工作原理是将长期大额订单分解为无限多个无限小的虚拟订单,在一定时间内使用嵌入式 AMM 平滑地执行这些交易。
关于 TWAMM 的虚拟交易所涉及的数学,Dave White 在文中并没有多费笔墨,只在最后给出了非常简单的数学结论,这对于理解 TWAMM 的数学原理非常不利。本文将重点对 TWAMM 的数学原理进行严格的论证和解释,至于 TWAMM 模型详细的设计原理,可以前往 Paradiagm 官网查看,本文不再做详述。
一巨鲸8小时前从Wintermute Trading又购买了4860亿枚PEPE:金色财经报道,据Lookonchain监测,一巨鲸8小时前从Wintermute Trading又购买了4860亿枚PEPE (约合60.4万美元)。过去3天,该巨鲸总共购买了 1.29万亿枚PEPE (约合161万美元)。[2023/8/11 16:19:54]
假设 TWAMM 执行大额虚拟交易需要 N 个区块,出售 X 的池子以每区块 xrate 的速率出售,而出售 Y 的池子以每个区块 yrate 的速率出售。因此,在整个期间售出的 X 总量为 xin=Nxrate,售出的 Y 总量为 yin=Nyrate。
同时,我们将此时间段嵌入 AMM 的初始储备 xreserve 和 yreserve 分别表示为 x0=xammStart 以及 y0=yammStart。
Meta:正努力确保公司满足欧盟数字服务法案对透明度的新要求:金色财经报道,Meta称,正在努力确保公司的系统到位,以满足欧盟数字服务法案对透明度的新要求。[2023/5/18 15:09:57]
按照 TWAMM 的设计,大额订单是随着区块进行交易的,每个区块出售 xrate 得到 yout,或者出售 xrate 得到 yout,同时 AMM 会更新 xreserve 和 yreserve 的值,整个过程总共交易 N 次。
值得注意的是,AMM 的每个区块交易总是遵循恒定乘积做市。

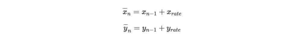
首先,在执行第 n-1 区块的交易后,我们假设此时 AMM 的 xreserve 和 yreserve 值分别为 xn-1 和 yn-1。
CreatorDAO完成2000万美元种子轮融资,a16z和Initialized Capital领投:8月9日消息,CreatorDAO完成2000万美元种子轮融资,a16z和Initialized Capital领投,Paris Hilton和音乐家The Chainsmokers等参投。据悉,CreatorDAO投资于创作者,以换取他们未来收入的一定比例,DAO结构允许众包投资决策,并奖励对DAO的贡献。(CoinDesk)[2022/8/10 12:13:57]
接下来执行第 n 区块的交易,X-Pool 和 Y-Pool 分别向 AMM 输入 xrate 和 yrate,命:

Layer2隐私跨链协议Zecrey与YINFinance达成合作,将允许用户进行跨链收益资产管理:6月22日消息,基于ZKRollup的Layer2隐私跨链协议Zecrey与去中心化流动性管理协议YIN Finance达成合作,将通过集成允许YIN Finance用户实现BNB Chain、Polygon、Arbitrum等不同链上的收益资产管理,同时YIN Finance旗下DAO操作系统VolcanoX计划利用Zecrey的私人支付解决方案来管理DAO系统的资产分配。
注:Zecrey是一个基于ZK Rollup的Layer2隐私跨链协议,可实现不同公链(以太坊、Near、Solana、BNBChain等)的数字资产的跨链聚合和管理。3月份,Zecrey完成400万美元天使轮融资,Spartan Group与Shima Capital领投。[2022/6/22 1:24:00]
因为 xrate 和 yrate 非常微小,且区块的交易 AMM 遵循恒定乘积做市商,我们可以得到,
诺奖得主埃里克·马斯金:加密货币过于流行令人担忧:5月16日消息,近日,在2022政府与市场经济学国际研讨会上,2007年的诺贝尔经济学奖得主,政府与市场经济学国际学会联合主席埃里克·马斯金对比特币进行了十分严厉的抨击,并对中国禁止加密货币表达了赞赏。埃里克·马斯金认为,货币最初发明,就是为了使商品交换更容易。不幸的是,比特币一出现,我们又回到了原始的以物易物的方向。故此,埃里克·马斯金认为,随着各国创建标准央行货币的数字形式,比特币的所谓优势也将不复存在。不仅如此,比特币等加密货币可能带来非常大的危害。埃里克·马斯金认为其潜在危害体现在两方面。
一是货币政策,逆周期货币政策。每个负责任的政府都会把货币政策作为可用的重要工具之一,一方面用来对抗经济衰退,另一方面可以对抗通货膨胀。当经济陷入困境时,政府将增加货币供应量。这就使得获得信贷更容易,从而有助于经济摆脱衰退。但当经济繁荣时,央行必须收缩货币供应量。加密货币可能会干扰良好的货币政策。如果人们使用比特币等加密货币,货币政策的影响会相应变小,走出衰退会变得更加困难。
另一个是与银行业有关。埃里克·马斯金说,支持加密货币的人有时会说,它消除了对银行的需求。人们可以在没有银行的情况下安全地汇款,可以在没有银行的情况下存钱。然而,这种观点忽略了银行发挥的关键作用,即评估和向企业家提供贷款。[2022/5/16 3:18:26]

化简,

在得到 xout,n 和 yout,n 的值后,我们进一步可以获得 n 区块的交易后 AMM 的 xreserve 和 yreserve 值 xn 和 yn,

通过观察,我们发现 xn*yn=xn-1*yn-1,这正好符合 AMM 的循恒定乘积做市的前提要求。
令, xn*yn=xn-1*yn-1=...= x1*y1=x0*y0=k,这是一个常数。
先对 xn 求得一般公式,并获得 xammEnd=xN 的值,yn 同理。

yn 的分式线性递归表达式如下:

首先,若 yin 等于 0,xin 不等于 0,则


计算得到,

而,

xin 等于 0,yin 不等于 0 时,讨论同上。
若 xin 和 yin 都不等于 0,对于一般的分式线性递归,我们可以采用不动点的方法求解。

进一步计算,

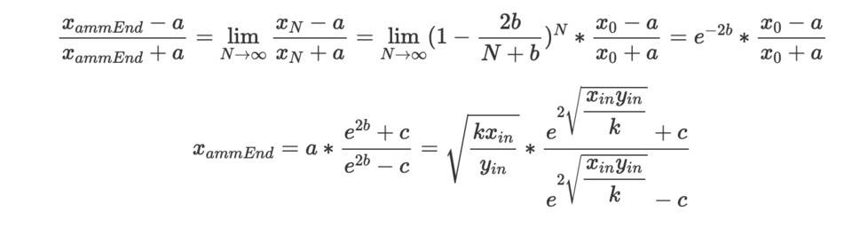
TWAMM 的基本假设是将长期大额订单分解为无限多个无限小的虚拟订单,也即是 N 可以取无穷大,这时候可以获得 xN 的极限值。

其中,

相似的,

最后,经过简单的验证 xammEnd*yammEnd=xammStart*yammStart=k, 依然满足 AMM 的恒定乘积。
至此,我们完成了 TWAMM 的数学原理严格的论证和解释,并得到了与 「时间加权做市商 TWAMM」 一文完全相同的结论。
撰文:luffy
标签:AMMWAMRATSERVBDAMM币WAMPL价格United Emirate CoinReserve Rights
DeFi数据1.DeFi总市值:271.08亿美元 市值前十币种涨跌幅,金色财经制图,数据来源Coingecko2.过去24小时去中心化交易所的交易量:16.8亿美元同道大叔《嘻哈一夏》数字藏品.
1900/1/1 0:00:00最近每个人都在谈论全链(omnichain)NFT。但是,什么是全链 NFT?如果你对此一无所知,不用担心——在过去的几周里,这个概念刚刚开始涌入加密经济的讨论中.
1900/1/1 0:00:00从艺术到游戏、体育再到时尚、IP品牌,NFT爆火之后,万物皆可“NFT化”已然变成了一种潮流趋势.
1900/1/1 0:00:00这两天关于无聊猿的文章发表后,有不少读者留言问了一些问题。今天集中解释一下。1、NFT去哪里买?能否零碎点买入?我在文章里提到过的NFT都不是在传统的中心化交易所里买的,都要去专门的NFT交易平.
1900/1/1 0:00:00在很多时候,人们习惯将数字藏品与NFT混为一谈。但数字藏品应属于NFT版块的一条子赛道,专注于藏品、艺术品.
1900/1/1 0:00:00过去,人们曾多次尝试颠覆风险投资:1. 天使投资者的激增(AngelList,2010)。2. 股权众筹的制定和监管(就业法案,2012年).
1900/1/1 0:00:00