近期Kucoin被盗,okex不能提币事件中,也已经充分暴露出中心化交易所的风险。

脆弱的中心化的交易所:
1. 技术风险
服务器软件漏洞、配置不当、DDoS攻击、服务端Web程序漏洞(包括技术性漏洞和业务逻辑缺陷)、办公电脑安全问题、内部人员攻击等。很多交易所没有灾备级系统认证,在发生火灾、地震、洪水时投资者数据一旦丢失,万劫不复。
2. 道德风险
中心化交易所的资产托管并没有使用区块链技术,不具备不可篡改、可溯源的特性,用户需要先把资金转入到交易所开辟的专门账户中,用户对自己的资产没有控制权。
中心化交易所信息不透明、不对称,加之主体权益不一致,很容易发生交易所内部人员做出不利于其他投资者的行为。
3. 法律风险
各个交易所以及相关人员在经营相关业务中,违反国家法律、行政法规和相关市场监管部门规定,从而受到法律的制裁而使交易所遭受损失。
LBank蓝贝壳于4月9日16:50首发 BOSON:据官方公告,4月9日16:50,LBank蓝贝壳首发BOSON(Boson Protocol),开放USDT交易,4月9日16:00开放充值,4月12日16:00开放提现。上线同一时间开启充值交易BOSON瓜分10,000 USDT。
LBank蓝贝壳于4月9日16:50开启充值交易BOSON瓜分10,000 USDT。用户净充值数量不少于1枚BOSON ,可按净充值量获得等值1%的BOSON的USDT空投奖励;交易赛将根据用户的BOSON交易量进行排名,前30名可按个人交易量占比瓜分USDT。详情请点击官方公告。[2021/4/9 20:02:26]
交易所违反监管规定和原则而招致法律诉讼或者监管处罚,进而不利于交易所正常运营的风险。
由于法律或监管规定的变化,影响交易所正常运营或削弱其竞争力、生存能力的风险。
保险的刚需: ?任何DeFi协议或者是交易所都是需要保险
最终来说,绝大多数的DeFi协议和中心化交易所都会将保险服务看作为协议服务的重要组成。唯有这样,才能真正解决用户的后顾之忧。
首发 | imKey正式支持Filecoin,成为首批Filecoin硬件钱包:12月1日,随着imToken2.7.2版本上线,imKey同步支持Filecoin,成为业内首批正式支持FIL的硬件钱包。Filecoin作为imKey多链支持的优先级项目之一,成为继BTC、ETH、EOS和COSMOS四条公链后的第五条公链。
据悉,imKey团队已在Q4全面启动多链支持计划,计划实现imToken已经支持的所有公链项目,本次imKey升级更新,无需更换硬件,不涉及固件升级,通过应用(Applet)自动升级,即可实现imKey对Filecoin的支持及FIL的代币管理。[2020/12/2 22:52:32]
保险其实本质是在于风险对冲,最大化的弥补风险事件所带来的各种损失。
保险赛道的新机遇: DeFi协议和中心化交易所
这种未来的可能性,对于保险赛道的项目来说,意味着巨大的机会。越来越多的中心化交易所为了吸引用户,增强护城河,会将其收益的一部分置入保险市场,这意味着保险需求的增加,保费收益规模的增长。
此外,考虑到DeFi保险市场的更好的透明度和更好的流动性,DeFi相对于传统行业的保险市场会有更高的渗透率。
首发 | 蚂蚁矿机S17真机图首次曝光 采用双筒风扇及一体机设计 ?:继正式宣布在4月9日现货销售后,比特大陆即将发布的新品蚂蚁矿机S17又有了新动态。据悉,蚂蚁矿机S17真机图今天在网上首次曝光。
从曝光的图片来看,蚂蚁矿机S17延续上一代产品S15的双筒风扇设计,且采用一体机的机身设计。有业内人士认为,采用双筒设计可有效缩短风程,矿机出入风口的温差变小,机器性能将得到很大改善。
此前比特大陆产品负责人在接受媒体采访时表示,新品S17较上一代产品相比,无论是在能效比还是单位体积的算力等方面,均有较大提升。[2019/4/3]
下面我们介绍一下首个针对交易所被盗、倒闭、跑路等各种风险事件的: 交易所信用CDS保险。
同时,INS3技术开发团队还推出了保险范围为CeFi、DeFi、稳定币、IPFS云算力的DeFi保险产品,以迎合市场需求。
竞品分析之1:超强保单流动性——CDS token?
与NXM保险不同,INS3的保单是CDS概念标准的ERC777代币,可以在任意地方进行交易,客户也可在任何时候可以退保。?
此外,客户将INS3将保单与USDT存在Moonswap以及Uniswap从而为保单CDStoken提供流动性,获取LP,将LP token存入INS3即可以获得INS3的代币奖励。?
首发 | 百度推动246家博物馆线上藏品上链:金色财经讯,近日,百度超级链联合百度百科,基于区块链技术创建 “文博艺术链”,推动百科博物馆计划中的246家博物馆线上藏品上链。基于“文博艺术链”,百度将与博物馆共同推动线上藏品版权的确权与维护,同时探索线上藏品版权数字化交易方式,为合作的博物馆提供更全面的服务和更多的权益。据介绍,此项目将分阶段进行,一期将完成线上藏品的入链确权,为每一件藏品生产专属的版权存证证书。让每一名用户可以在百度百科博物馆计划的PC端和WAP端的藏品页查看证书。后续,百度还将推动AI与区块链技术在文博领域的结合应用,用来保障上链数据与藏品相匹配,为后续进行藏品图像版权数字化交易奠定基础。[2019/1/30]
竞品分析之2: 多种精算与保费模型组合
与NXM将保费与staking金额挂钩,利用staking的预期来为项目违约率进行定价的单一方式不同,INS3采用预期模型、KMV模型与自主链上评分卡三者结合的精算模型来确定保费。?
先来介绍其中的KMV模型模型。?
IMEOS首发 EOS Go公布新增两条复选条件 :据金色财经合作伙伴IMEOS报道:今日,EOS Go在 steemit上公布新增的两条复选条件为:
1. 保证安全的计划:候选节点是否在steemit上发布文章介绍该节点的安全方法和计划,“安全方法”标准是向EOS选民展示安全最佳实践知识和组织实施计划的机会;
2. 立场:描述该节点分享通胀奖励和/或向EOS代币持有人派发股息的立场(候选节点在steemit发布)。主要阐述以下两个问题:
该组织是否会出于任何原因向EOS令牌选民提供支付,包括BP选举和社区建议?
该组织是否有书面的无票付款政策?如果是这样,请提供一个链接。[2018/4/27]
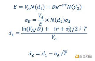
信用险的保费定价=保额×(无风险利率+违约率)。 我们借鉴了美国成熟债券市场中的DRSK模型(KMV模型的变形)。根据KMV模型,?

其中,V为公司资产价值,μ为资产价值漂移率,δ为其波动率,dW为标准维纳过程。?
假设债务期限为T,公司股权价值为E、负债为D,无风险利率为r,根据期权定价理论,?

由此计算违约距离DD:?

并估算最佳违约点参数:?

其中,α为短期借款乘数,SD为公司短期借款,β为长期借款乘数,LD为长期借款。
在实践中,我们将DeFi的锁仓量以及交易所的公开热钱包存币量作为债务,平台币或者项目治理代币的波动率作为波动率,建立和目前项目风险之间的映射关系。
在模拟实践中,INS3版本的KMV模型提前预测了9月13日的BZRX的被盗事件,在被盗前夕将预计保费由4.62%调升至13.66%。?

再来介绍评分卡模型。 INS3团队借鉴defiscore的模型针对每个defi项目的链上信息制作了评分卡模型:?

其中,智能合约风险权重占45%,抵押物风险占20%,流动性风险占10%,协议管理权风险占12.5%,预言机风险占12.5%。?
通过评分卡,Defi项目的质量将更为量化,并反映在保费上。?
INS3的精算模型融合预期模型、KMV模型以及评分卡模型进行精算定价,精细程度、精算的稳定性和准确性,相比NXM均有所提高。?
竞品分析之3: Staking & NFT
如果客户想获取稳定收益,可以参与INS3的staking来参与承保。与NXM强制质押90天不一样,INS3的staking资本是一个NFT,可以在NFT交易平台上自由转让。?
如果不想转让,在资本充足率充足的情况下,staking资本可以随时退出。如果资本充足率不充足,客户可以注销保单退出,像Kucoin保单一天保费涨幅达到321%的情况,注销保单还可获得盈利。?

参与staking可获取70%的保费分成,如果在5-10倍杠杆下,可获取年化15%~350%的保费收入。?

同时,参与staking还可以获得INS3的代币奖励。??
竞品分析之4: ?投资模式?
INS3团队目前是市场最大的DeFi清算团队以及中心化和去中心化套利者之一,staking的资本会用于参与Dex和Cex之间的套利,从而实现staking资本的保值增值,盘活staking资本。?
竞品分析之5: ?预言机?
与NXM采用董事会初审+社区复审的形式来决定是否赔付的中心化的方式不同,INS3采用自建预言机的模式,任何人都通过API来判断行情是否正确、资产是否安全、是否能提币等原创综合算法,从而判断交易所是否出现安全事件。参与认证是一种行为挖矿,可以获得挖矿奖励。?

竞品分析之6: 总结
INS3更具竞争力的:?资本模型,投资模型,保险精算定价模型,?相对NXM和Yinsure在去中心化程度和保险范围上做了重大升级。

INS3与Web3.0对应,延续传统保险1.0和互联网保险2.0的演进路线,将保险带入区块链和智能合约托管的3.0时代。?
将资本进行代币化, 代表着可不借助股票或者债券等金融工具就直接投资“保险公司”,并可以退出和交易。由此,一个“可装卸”、“可编程”的“保险公司”出现了,这是区块链带来的生产关系进步。?
INS3的全球团队,凭借技术开发功底和保险精算领域经验,通过了Conflux社区生态基金会的审核并获得其资助,预计将于12月30日上线第一只保险产品: 交易所信用CDS保险。
INS3希望以DeFi + NFT+ 预言机+ 跨链的模式为去中心化保险生态带来创新。
亲爱的Bankless Nation,NFT的交易体验仍然处于早期。有一个缺陷:OpenSea和LooksRare只允许你一次购买一个NFT.
1900/1/1 0:00:00日本游戏巨头世嘉(Sega)正在考虑将云技术和NFT集成到其新项目“Super Game”中,将不同的游戏相互连接.
1900/1/1 0:00:00Mdex是火币生态链上的去中心化交易所,Mdex挖矿于1月19日20:00开始,具体挖矿方式看下文:DeFi流动性挖矿火爆一时,吸引了大量投资者参与.
1900/1/1 0:00:00暴走时评:去中心化的自治组织真的去中心化了吗?本文列举了他们在实现完全自治的道路上所面临的困难.
1900/1/1 0:00:00从整个NFT市场来看,这条赛道已经进入了快速发展的阶段,未来NFT市场会有无数的机会涌现。但是,除了那些经过时间考验的蓝筹,其他99%的NFT将归零,除了蓝筹,其他的大部分都将变成一文不值的JP.
1900/1/1 0:00:00最近币圈又逢人生小高潮工农联盟正式成立,产销一体全面布局寿司、泡菜、胡萝卜、玉米竞相登场眼看着新韭菜每天挖矿热火朝天,不管技术形态干就完了稍不留神就赚了个盆满钵满.
1900/1/1 0:00:00