风险平价模型
在传统市场里,风险平价模型(Risk Parity)试图通过将资金分配到更广泛的类别,如股票、政府债券、信贷相关证券和通胀对冲(包括实物资产、商品、房地产和通胀保值债券)等,来均衡风险,同时通过金融杠杆作用实现收益最大化。据Bridgewater Associates的首席投资官Bob Prince的说法,传统风险平价投资组合的定义参数是不相关的资产、低股票风险和被动管理。
关于投资,有一条广为人知的投资理念是不要把所有的鸡蛋放在一个篮子里。那么,如果有人建议你把90%以上的鸡蛋放在一个篮子里,你会认为这样就足够分散投资了吗?可是很多传统的60%的股票和40%的债券的平衡投资组合的人都是这样做的,尽管60/40的投资组合并不能提供真正的风险分散。
观点:澳大利亚加密货币交易所去银行化的风险始终存在:金色财经报道,BTC Markets首席执行官Caroline Bowler表示,因澳大利亚加密货币的监管问题,当地加密货币交易所去银行化的风险始终存在,澳大利亚的加密货币监管环境让位于该地的交易所可能发生更多的银行向交易所存款减少情况。
此前报道,Binance澳大利亚在其社交平台表示,受第三方支付服务提供商影响,澳元PayID存款被暂停,银行转账提款也将受到影响。[2023/5/19 15:13:22]

来源:
https://en.wikipedia.org/wiki/Risk_parity
美国风险投资基金Sound?Ventures考虑创立2亿美元的人工智能基金:金色财经报道,美国风险投资基金Sound?Ventures考虑创立2亿美元的人工智能基金。金色财经此前报道,Sound?Ventures投资了多家Web3公司。[2023/2/11 12:00:22]
为什么会这样呢,因为“蛋”(风险)的大小是不一样的。股票的风险是债券的9倍左右。假设股票和债券收益率有每年的标准差分别为15%和5%。那么,从方差来看,股票的风险是债券的9倍。假设我们将6个股票 "蛋 "和4个债券 "蛋 "分别放在两个篮子里。股票的风险对总体风险的贡献是93%。
虽然我们的鸡蛋比喻可能看起来很简单,但它与实际情况相差不远。例如,从1983年到2004年,罗素1000指数的超额收益率年化波动率为15.1%,雷曼综合债券指数的年化波动率为4.6%,而两者之间的相关性为0.2。由此可见,60/40的投资组合在资本配置上可能看起来是平衡的,但从风险配置的角度来看,它是高度集中的。
a16z后期风险基金就与Coinbase相关的交易获得美国联邦贸易委员会批准:金色财经报道,Andreessen Horowitz(a16z)的后期风险基金已就涉及Coinbase的交易获得美国联邦贸易委员会(FTC)的批准。目前尚不清楚批准是针对该基金先前披露的在Coinbase购买股票还是用于新的购买。[2020/9/25]

模型的计算
事实上风险平价的实际推导过程蕴含着不同资产的长期表现与复杂的数学求解,它基于一个长期观察的假设,即大类资产的Sharpe Ratio (单位风险的收益) 是接近一致的。如股票、债券、黄金及其他大宗商品1971-2009年的Sharpe Ratio都在0.3左右。Bitcoin的5年滚动Sharpe ratio为1.25——从这个角度来看看未来数字货币兴许将迎来更低的收益或更高的风险。
广州市金融工作局:利用区块链等科技,创建广州金融风险监测防控中心:5月24日,广州市金融工作局举办《广州市决胜防控金融风险攻坚战三年行动计划(2018-2020年)》新闻发布会。发布会上,局长邱亿通表示,具体工作重点之一是创新建设广州金融风险监测防控中心,作为国内首个地方金融风险监测防控平台,防控中心利用人工智能、区块链、云计算、大数据、互联网等金融监管科技,实现“主动发现风险—提示风险—处置风险—持续监测”闭环管理,形成了金融风险监测防控的“广州模式”。[2018/5/24]

来源:Messari
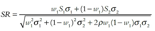
风险平价的本质实际是假设各类资产的Sharpe Ratio长期趋于一致去寻找投资组合的长期Sharpe Ratio的最大化。我们不妨看一个最简单的例子,假设两个资产的Sharpe Ratio分别是S1与S2,他们的波动率分别是σ1与σ2,他们的相关性为ρ。两种资产的风险贡献分别为RC1与RC2,投资策略组合的Sharpe Ratio为SR。



来源:Newbloc 资产组合的Sharpe Ratio及其导数
通过对资产组合的Sharpe Ratio(蓝色),及其导数(红色)分析和运算可知在当前的假设下两种资产的资金配比分别为以下比例时产生的Sharpe Ratio是最大的。

在数字货币市场中的实践
Newbloc, 基于AI的量化交易系统,通过机器学习,挖掘市场特征,通过历史和实时数据训练交易决策引擎构建了包括因子、套利、对冲、趋势四大类几十种子策略。基于Newbloc资管团队在传统金融市场中的风险平价模型的研究,我们将其运用在复合类策略的构建与优化之中,旨在获得最大的单位风险收益。以下是子策略自2019年1月1日以来的表现。可以看到从单策略长期的表现来看最好的Sharpe Ratio是2.61, 最好的最大回撤为16%。通过平价模型优化的策略组合年化为132%,最大回撤可以控制在10%以内。

来源:Newbloc

文 / New Bloc CIO 马洁
过去24小时内XLM抢眼的表现导致热力图中其他币种看起来还在原地踏步,不过相比于前一天来看,昨天主流币种实际上已经走出了比较明显的回暖迹象,BTC在该时段内超3%的上涨带动大多数币种普遍反弹.
1900/1/1 0:00:005月26日上午,《贵阳主权区块链技术与应用》白皮书发布会成功举办。贵阳市委常委、市政府常务副市长徐昊出席活动并发布《贵阳主权区块链技术与应用》白皮书,中国科学院软件研究所研究员、区块链技术与应用.
1900/1/1 0:00:00金色热搜榜:XTZ居于榜首:根据金色财经排行榜数据显示,过去24小时内,XTZ搜索量高居榜首。具体前五名单如下:XTZ、AST、EKT、BCH、SEELE.
1900/1/1 0:00:00金色周刊是金色财经推出的一档每周区块链行业总结栏目,内容涵盖一周重点新闻、行情与合约数据、矿业信息、项目动态、技术进展等全行业动态。本文是其中的产业周刊,带您一览本周的区块链产业动态.
1900/1/1 0:00:00区块链行业里关于链的项目,主要是公链和联盟链,公有链受加密货币的优势受人追捧,名声大噪。但在另一头,联盟链也在风生水起,在技术发展和相关企业推动下联盟链正在完善各类解决方案.
1900/1/1 0:00:00BTC比特币减半究竟是利空还是利多 1.【BTC减半原因】中本聪在设计BTC的时候设定的规则,BTC一共有2100万枚,矿工们最初出一个块可获得50个比特币奖励,21万个Block块左右后.
1900/1/1 0:00:00