最近研究了下零知识证明算法-PLONK。肚子里的墨水又增加了,记一下学习成果与新的体会,和大家共同学习---江小白。
现状
近些年,各种新的零知识证明算法层出不出,各有各的特点,各有各的优势。借用V神系列文章里的一张图来简单呈现下当前的零知识证明算法现状。

从图中可以简单总结出以下几点:
理论上安全性最高的是STARKs算法,不依赖数学难题假设,具有抗量子性;Proof大小上最小的是SNARKs算法,如Groth16;PLONK算法在安全性上和Proof大小上,位于上述两者之间;其他的这里不做过多阐述,如想了解零知识证明更多信息,可参考链接;对于SNARKs算法,绕不开的一个点就是中心化的TrustSetup,也称之为CRS(theCommonReferenceString)。而无论是PGHR13,Groth16,还是GM17算法,它们的CRS都是一次性的,不可更新的。即,不同的问题将对应着不同的CRS,这在某些场景下,会变得比较麻烦。这些存在的问题,变成了PLONK,SONIC这类算法的一个优势,它们算法虽然也需要中心化的可信设置,但是它的CRS具有一定的普适性。即,只要电路的大小不超过CRS的上限阈值,一些证明问题就可以共用一个CRS,这种CRS称之为SRS(universalStructuredReferenceString),关于SRS的定义,详细的可参考SONIC协议里的第3小节。PLONK算法继用了SONIC算法的SRS的思想,但是在证明的效率上,做了很大的提升。接下来,让我们详细的介绍下PLONK算法的具体细节,主要从下面四个小节去分享:
萨尔瓦多总统:比特币进程会经历一条学习曲线,萨尔瓦多有权迈向第一世界:9月7日消息,萨尔瓦多比特币法案即将生效之际,萨尔瓦多总统Nayib Bukele再次发推称:和所有创新一样,比特币进程会经历一条学习曲线。未来的每一条路都是这样,不是能一蹴而就的。但我们必须打破过去的范式,萨尔瓦多有权迈向第一世界。之前报道,Bukele称该国已买入400枚比特币。[2021/9/7 23:05:38]
电路的设计--描述PLONK算法的电路的描述思想;置换论证或者置换校验--复制约束,证明电路中门之间的一致性;多项式承诺--高效的证明多项式等式的成立;PLONK协议--PLONK协议剖析;电路
PLONK算法电路的描述和SONIC算法一直,具体的过程可以参考李星大牛的分享,已经写的比较详细且易懂。在这个小篇幅里,我想主要分享下我自己的两点想法:
无论是什么样的电路描述方式,电路的满足性问题都要归结于2点,门的约束关系和门之间的约束关系成立;在SNARKs系列的算法里,电路的描述单元都是以电路中有效的线为基本单元,具体的原理可以参考我之前分享的文章,而在PLONK,SONIC以及HALO算法里,电路的描述单元都是以门为基本单元。这两种电路的不同描述方式带来了一定的思考。那就是,之前在研究SNARKs算法时,我们都已经相信一个事实,“多项式等式成立,就代表着每个门的约束成立”,然后推断,整个电路逻辑都是成立;在这个过程中,并没有额外的去证明门之间的一致性成立;但是在PLONK算法里,除了要证明多项式等式成立外,还要额外的用置换论证的数学方法去证明门之间的约束关系,即复制约束。为何会有这样的区别?希望有心的读者能一起在评论区探讨这个问题?我个人理解是因为电路的描述方式的不同:
HDAO 公开课:不断学习,保持行业交流,具备风险意识和投资计划以应对变幻莫测的市场:11月18日晚8点,CWV基金会主席王小彬先生做客超导公开课第35期,探讨如何在不确定的市场环境下,如何抓住市场机会,以及NFT市场现状及发展趋势。小彬总认为,每天保持自我学习并和同行业进行充分的信息交流,具备风险意识和投资计划,是在变幻莫测的市场环境下,抓住市场机会应该做的准备。NFT是一个很有趣的赛道,疫情之下全球游戏市场和全球数字货币市场的爆发,以及NFT对人们的吸引眼球,是一个很具有时间意义的时刻。
HDAO作为去中心化的金融服务生态系统,一直致力于创建一个高效、透明和可实现的数字金融生态系统。HDAO作为万物上链先锋践行者,正在稳健推进NFT铸造系统,使用户可以方便地放置真实世界的资产作为抵押品,进行借贷和挖矿,引领NFT行业商业创新与应用场景探索。[2020/11/18 21:14:56]
PLONK算法里,电路描述的单元是门,它为每个门定义了自己的L,R,O,因此需要证明门之间的一致性;SNARKs算法里,电路描述的单元是线,门与门之间的值用的是同一个witness,因此不用额外证明一致性;置换论证
孙宇晨《学习时报》刊文:央行数字货币离不开强大的区块链技术创新支撑:据最新消息显示,波场TRON创始人兼BitTorrent CEO孙宇晨在中央党校机关报《学习时报》刊文《区块链技术带来金融服务的信任变革》。文章中表示,经过十多年的发展,区块链技术的应用已经远远超过数字货币的范畴,从边缘的技术创新,逐渐成为主流的技术应用,尤其是对于提高金融效率有着天然的匹配性。区块链的分布式记账技术,可以较大程度地解决信息不对称问题。文中还指出,在人民币国际化进程中,央行数字货币要想在未来数字货币中占有一席之位,离不开强大的区块链技术创新来支撑。[2020/11/9 12:06:34]
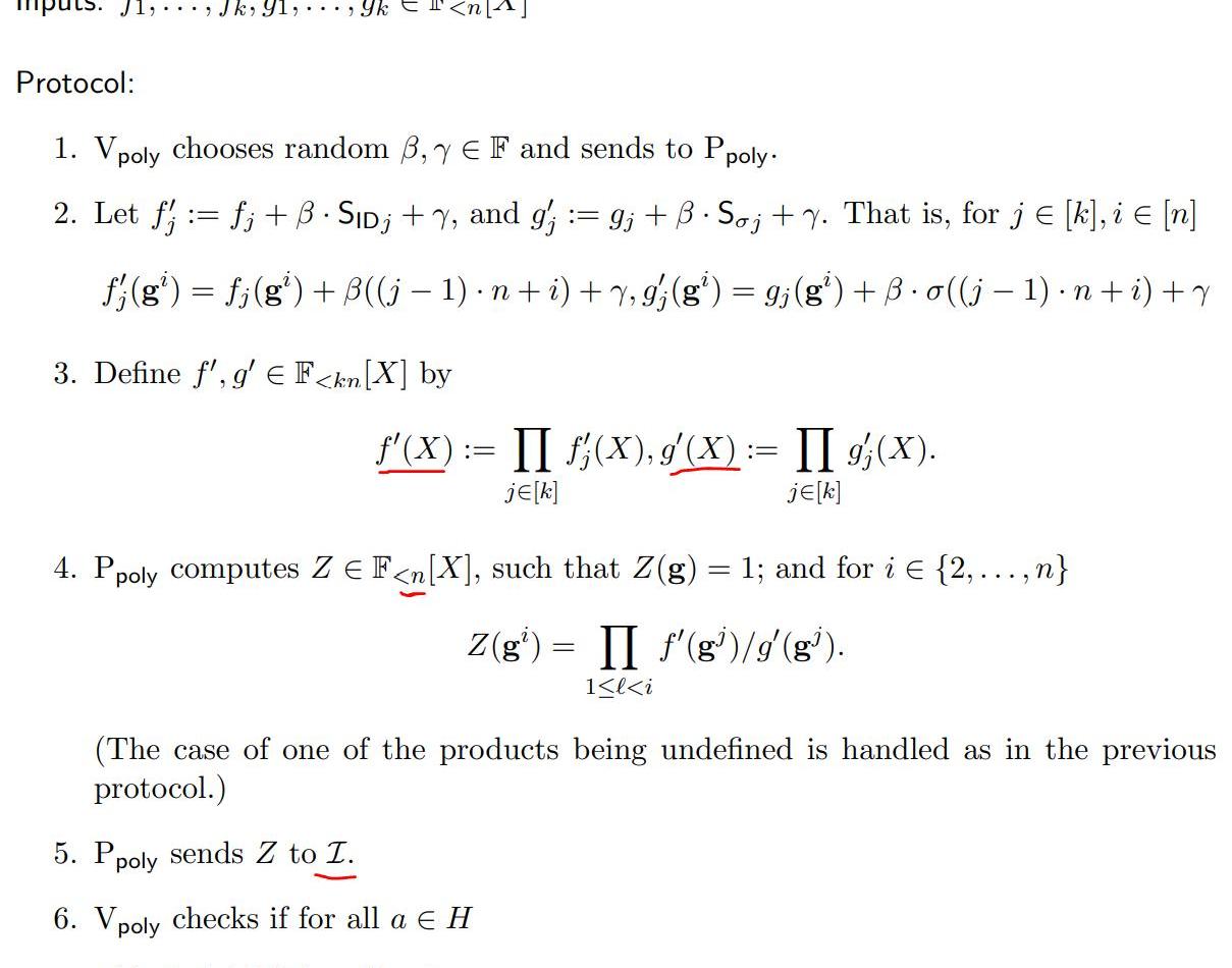
前面我们说过,在PLONK算法里,需要去证明门之间的约束关系成立。在做具体的原理解释之前,我们先简单的过一下PLONK协议的过程,如下图所示:
可描述为:
根据电路生成三个多项式,分别代表这电路的左输入,右输入,输出;利用置换校验协议,去证明复制约束关系成立;步骤3和4,校验门的约束关系成立。其中第1点已经在电路小节里阐述过了,接下来,将详细的讲解多项式置换校验的原理。先从简单的场景去讲解:
Tim Draper建议拜登竞选搭档学习加密货币:金色财经报道,随着参议员Kamala Harris被选为美国总统候选人拜登的竞选搭档,风险投资家Tim Draper表示:“她在辩论中并不突出,但我认为她很有头脑,可以学习加密货币。如果她还没有比特币钱包,我们应该给她一个。”[2020/8/20]
单个多项式的置换校验
其实就是证明对于某个多项式f,存在不同的两个点x,y,满足f(x)=f(y)。下面来看具体的原理:

上图中加入了一个正例P,一个反例A,方便大家理解置换校验的原理。有几点需要解释的是:
而经过仔细剖析Z的形式,不难发现,Z(n+1)其实就是两个函数所有值的乘积的比值(不知是否等同于V神文章里的坐标累加器?)。理论上是等于1。因此,我们需要设计这样的一个多项式Z,需满足:deg(Z)<n
动态 | 广东党政机关、科研机构600余人集体学习总书记区块链重要讲话,共谋粤港澳区块链创新发展:11月29日上午,由国研智库创新科学园、广州市科学技术协会、区块链产业人才研究所、清华x-lab、粤港澳大湾区区块链联盟、广州市区块链产业协会联合举办的“学习总书记区块链技术重要讲话精神暨粤港澳区块链技术与产业创新发展高级研讨活动”在广东科学馆报告厅举行。活动邀请来自国务院发展研究中心、国研智库、工信部赛迪区块链研究院、清华x-lab区块链领域专家教授,集体为粤港澳区块链技术和产业发展把脉,最终形成研讨成果报告,为国家和地区制定区块链产业发展文件政策献言献策。同期将筹备成立粤港澳区块链产业智库、粤港澳数权经济创新发展中心,助力粤港澳区块链产业生态建设和加速发展。[2019/11/29]
Z(n+1)=1
2.乘法循环群刚好可以满足这个条件,如果设计一个阶为n的一个乘法循环群H,根据群的性质可以知道Z(g)=Z(g^(n+1))。因此,在设计Z时,会保证Z(g)=1;上图中的自变量的取值也将从{1...n}变成{g...g^n}。所以在上图中验证的部分,a其实已经换成了群H里的所有元素。
3.根据论文中的协议,多项式Z是会发给可信第三方I验证方V会从I处获取到多项式Z在所有a处的取值,然后依次校验。
下面具体看一下论文中的定义:
从定义中可以看出:多项式f,g在范围内具有相同的值的集合;下面看一下论文中具体的协议部分,结合上述解释的3点:

说明:图4中的f,g对应图3中的f。即f,g是同一个多项式。其实只要是相同的值的集合,也可以不用于是同一个多项式。图3是一个特例而已。
跨多项式的校验
其实就是证明对于某个多项式f,g,存在两个点x,y,满足f(x)=g(y)。与存在两处不同:
多个多项式;不强制x,y的关系,即也可以等,也可以不等;有了(1)小节的基础,这次我们先看一下相关的定义:

从定义可以看到,这次是两个多项式集合见的置换校验算法。从标注的部分可以看出:
两个多项式集合仍然具有相同的值的结合;为了区分集合里的多项式,自变量的索引得区分开来;因此,可以想象的到,如果存在两个多项式f,g,想要证明f(x)=g(y),那么根据以上描述可以判断{f1,f2}={f,g}={g1,g2}。也保证了上述第1点的成立。
下面我们看一下具体的原理:

和(1)小节相比,证明方P增加了些工作量,验证方V工作量不变。结合上述描述,也能很容易的理解其数学原理。
说明:至此,其实我们已经慢慢的接触到PLONK算法的核心了,前面我们讲到,电路的满足性问题除了门的约束关系还有门之间的约束关系。
比如一个输入x,它既是一个乘法门的左输入,又是另外一个乘法门的右输入,这就需要去证明L(m)=R(n),这就是跨多项式的置换校验。
下面再给出论文里的协议内容:

至此,本篇文章已经描述了,在PLONK算法里,电路的设计以及复制约束的成立验证两大部分,接下来,将会另起一片文章,去分享门约束的成立和整个协议的具体步骤。
以上都是作者小白的个人理解,还希望各位读者多多指教,谢谢。
南非高等法院最近对MirrorTradingInternational下达了临时清算令,此前两名投资者未能撤回其比特币,并提出了救济申请.
1900/1/1 0:00:00“数字人民币”再次“上榜”。1月4日召开的2021年中国人民银行工作会议部署了2021年十大重点工作,其中在提升金融服务和管理水平方面,会议要求,“稳妥开展数字人民币试点测试”.
1900/1/1 0:00:00|合规联盟原创出品?|自比特币于2009年1月1日正式面世以来,公众对于虚拟货币与区块链技术不再陌生。国内一些企业已经将区块链技术运用到生产经营中.
1900/1/1 0:00:00我们都知道,Filecoin的gas与EIP-1559渊源波深。北京时间12月17日,协议实验室创始人胡安就“EIP-1559inFilecoin”为主题进行了演讲,本次演讲主要讲解了Filec.
1900/1/1 0:00:00PAData?1月19日消息,根据第三方专利检索网站SooPAT的统计,我国2020年区块链专利申请量为8623个,与2019年的8614个基本持平.
1900/1/1 0:00:000x协议宣布即将启动V4版本,并计划在UTC时间1月16日晚上8点开启投票,投票将于1月23日结束.
1900/1/1 0:00:00