本文将探讨如何更合理地评估NFT的稀有度。稀有度得分是一种辅助手段,不同NFT项目方会给出关于某种属性的更重要的公告,也会受到了个人主观审美的影响。
什么是NFT的稀有度?
一般来说,NFT的稀有度包含两个概念:特征稀有度与资产稀有度。
特征稀有度:衡量每个特征的出现频率,即拥有该特征在此集合中的占比。例如,特征"Background_Blue"的稀有度得分是10.44%,因为ShortBearClub总数是5000只,其中有522只"Background_Blue"熊。

图1:ShortBearClub的特征稀有度
资产稀有度:代表该项资产的总稀有度分数,可用于横向对比与排名。单个NFT的价值通常很大程度上受到稀有度的影响。对于NFT收藏家来说,当他们在考虑购买哪种NFT时,他们希望花费相同数量的ETH带来最大的回报,于是,稀有度成为最重要的参考指标之一。
已有的稀有度评分模型Rarity.Tools稀有度评分
Rarity.Tools是目前使用最广的稀有度评分工具。它的核心计算方式是:将每个特征出现频率的百分比的倒数总值相加。

动态 | 马耳他研讨会探讨如何改进涉及区块链的反法:据Times of Malta消息,马耳他区块链协会主席Patrick Young和管理者Max Ganado发文称,近日在由马耳他区块链协会和马耳他财政部共同组织的Blockfinance研讨会中,包括马耳他金融服务管理局(MFSA)、马耳他金融情报分析部门(FIAU)和在内的利益相关者参与了活动。发言者初步进行了差距分析,使行业参与者可以就涉及区块链的反法(AML)的进一步发展提出具体建议。 文章指出,这个新兴产业需要表现出高标准的诚信以及合规性。此外,区块链行业参与者需要为AML-CFT战略做出贡献。[2019/4/7]
图2:rarity.tools的稀有度模型
不过,Rarity.Tools在近期调整了它的计算模型,且没有公开披露具体细节。
Rarity.Tools是NFTSummer爆发前就有的一款NFT稀有度数据分析工具,它的优势在于计算模型简单易懂。用户可以很直观地看出哪个特征在整体稀有度分数中贡献度更大。但是简单加总法的缺点是可能会高估或低估一项资产的真实稀有度。例如,若某个特征或者特征数量的分数过高,会在一定程度上拉高该NFT的排名,但用户可能对该特征并不是很关注。
NFTEXP稀有度评分
在NFTEXP的稀有度计算更为复杂,目前尚未披露。我们只能从NETEXP官网中获得NFTEXP模型的大概思路。
以"Chubbies"项目为例,其中两个特征的频率如下:
脸部:Blushed,有1053个。
发型:Afro,有1110个。

动态 | EOS社区在如何使用eosio的资金上存在分歧:据Coindesk消息,EOS区块链上的eosio.saving账户余额不断增加,价值接近1.92亿美元。EOS社区对如何处理这些资金存在分歧。EOS核心工作小组的成员希望看到这些资金被用于造福社会。然而,也有明显的声音,敦促社区关闭WPS,取消其资金来源,“烧掉”或销毁目前在eosio.saving帐户中的所有Token。[2018/8/27]
图3:"Chubbies"项目一览(来源NFTGO.io)
从百分比上来看两个特征的稀有度几乎相同。但是:「Blushed」的特征稀有度评分为8,而Afro的特征稀有度评分为17。这是因为发型特征只有四种,脸部特征一共有13种。所以,一个「Blushed」的真实稀有度低于“平均脸”,而一个「Afro」的真实稀有度高于平均水平。
NFTEXP的特征稀有度考虑到了特征中类别数的影响。每个特征的出现频率会与平均频率进行比较,相应的调整特征评分。但NFTEXP也存在和Rarity.Tools同样的缺点,会在下一节“异常情况对比”中详细阐述。
更合理的稀有度评分模型
一般来说,稀有的同义词还有特殊、独特。一件事物是否稀有,主要取决于它与群体内其他事物的差异性。差异性越大,代表这件事物更加特殊和罕见。那么,若能量化这件事物与群体内其他事物的综合差异,即能反映出它在群体内的稀有度。NFTGO基于这一原则,研发出一种更科学的方法来评估NFT的稀有度——基于Jaccard距离的稀有度评分方式。
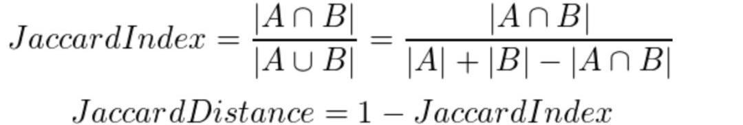
什么是Jaccard距离?
Jaccard距离是一个统计学的方法,用于测试样本集之间的不相似性,范围为从0到1。其数学公式为:
英国央行:正在研究如何维护区块链网络的隐私以及对数据进行监管:本周三,英国中央银行英格兰银行(Bank of England)发布文件显示,该行正在与区块链创业公司Chain合作开发一种概念验证,研究如何在基于区块链(或分布式账本)的网络上维护隐私,同时仍允许对数据进行监管。[2018/4/11]

Jaccard距离是一种常见的数据科学测量方法,用于计算对象之间的差异性。其逻辑看起来类似于维恩图,衡量样本集之间的交集大小。
如何计算NFTGO稀有度评分?
NFTGO基于Jaccard距离来纯粹地统计NFT特征的相似度。我们以计算BAYC#1154稀有度评分为例:
计算#1154与同系列中其他9999个NFT的Jaccard距离
计算Jaccard距离的平均值,这就是稀有度分数的初始数据
使用极差法处理上一步的数据。极差法的数学公式为:

用上一步得出的z-score乘以100,即为BAYC#1154的最终稀有度分数。然后在一个集合中根据分数进行排名(稀有度分数的范围从0到100),得到该NFT的最终稀有度排名。
环球银行金融电信协会与七家中央证券存管机构签署一项协议备忘录,以研究区块链如何用于交易后流程:环球银行金融电信协会(SWIFT)与七家中央证券存管机构签署了一项协议备忘录,以研究区块链如何用于交易后流程,如代理投票等。这七家机构分别是美国纳斯达克 Nasdaq Market Technology、俄罗斯国家结算存管公司(National Settlement Depository)、瑞士SIX Securities Services,南非Strate,阿布扎比证券交易所,阿根廷的Caja de Valores和智利的Depores de Central Valores。[2018/1/16]
NFTGO稀有度评分的优势
通过实验对比发现,Rarity.tools和NETEXP的稀有度评分可能会高估或低估一项NFT资产的稀有度,而NFTGO稀有度评分却能在这些异常情况里给出比较合理的结果。
下表展示了NFTGO、Rarity.Tools和NFTEXP三种稀有度评分模型,在计算BoredApeYachtClub(BAYC)系列NFT的稀有度排名时的异常情况。

表1:各工具稀有度排名结果对比
在26个异常值中,前22个猿猴的稀有度评分被Rarity.Tools和NFTEXP高估了,因为“有四个特征属性的猿猴”在总分中占了很大的比例。最后4个猿猴的稀有度评分被Rarity.Tools和NFTEXP低估了,因为“有五个特征属性的猿猴”在总分中占的比例很小。
美国商品期货交易委员会公布关于如何定义加密货币已经交易完成的解释: 美国商品期货交易委员会(CFTC)已经公布了解释说明,关于如何定义加密货币已经从买方“交付”给了卖方。确认交付已经完成的的两个因素是:1. 客户有能力 (i)拥有和控制全部数量的商品,无论是以保证金,还是使用杠杆或其他融资购买,以及(ii)在交易之日起28内,自由地商业使用商品(在任何特定平台内外);以及2. 报价人及卖方(包括各自的关联方或与报价人或卖家合作的其他人士)不保留任何利益或控制任何以保证金,杠杆或其他融资方式购买的商品,在超过自交易日期起计28日后。据CFTC称,提议的解释不是最终的,需要经过90天的公众评议期。[2017/12/16]
以BAYC#947为例,NFTGO将其排名为#9994,这几乎是最不稀有的猿猴,稀有度为406。然而,Rarity.Tools将它排在第775位,稀有度为168.23。这是因为Rarity.Tools仅将每个特征和特征数进行简单相加(然而它实际没有额外的特殊特征)。如下图所示,这只猴子并无特别的特征。那为什么这只猿猴在Rarity.Tools中排名前10%?很明显,特征数占稀有度分数的比例过高,在168.23的总分中占136.7分。有四个特征属性的猿猴总数为254个,有六个特征属性的猿猴总数为5,323个。根据Rarity.Tools提供的稀有度计算公式,有四个特征属性的猿猴会比有六个特征属性的猿猴相对稀缺,这其实并不太合理。

图4:Rarity.tools针对BAYC#947的稀有度评分细节

图5:NFTGO针对BAYC#947的稀有度评分细节
再看BAYC#2832和BAYC#8742,很明显,BAYC#2832的评分应该更高,因为它有多样化的特征。并且,BAYC#8742的最高报价也高于BAYC#2832,因此,购买BAYC#2832是更有利可图的,而Rarity.tools低估了它的稀有度。

图6:Rarity.tools针对BAYC#2832和BAYC#8742的稀有度评分细节(数据:2021年12月2日

图7:NFTGO针对BAYC#2832的稀有度评分细节)

图8:NFTGO针对BAYC#8742的稀有度评分细节
图7和图8是NFTGO对BAYC#2832和BAYC#8742的稀有度评分。从页面右侧“特征”视图可以看到,BAYC#2832的各特征属性基本浮动在1%-3%之间,而BAYC#8742特征属性的最低值足有12.42。显然,NFTGO的稀有度评分比Rarity.Tools更加合理。
此外,Rarity.Tools和NFTGO对于CryptoPunks的稀有度评分也能反映其准确性的差异。在Rarity.Toolsv2中排名前二十名的Punk,有接近一半是没有特征的。NFTGO对此类Punk的排名更低一些,因为这些零特征的Punk缺乏多样性,理应降低稀有度评分和排名。

图9:Rarity.Tools中排名前21的CryptoPunk

图10:NFTGO中排名前20的CryptoPunks

表2:CryptoPunk的稀有度排名对比(数据:2021年11月2日)
综上,与RarityTools和NFTEXP稀有度评分相比,基于Jaccard距离的NFTGO稀有度评分是合理且准确的,您可以将其作为收藏NFT的参考。
总结
在购买或出售NFT时,稀有度得分是一种辅助手段。虽然我们使用的稀有度模型在统计学上是正确的,但是不同NFT项目方会给出关于某种属性的更重要的公告。例如CoolCats的官方声明,无檐小便帽或帽子这样的普通物品比电脑头或猿人服装等稀有物品的价值要低。除此之外还有其他方法可以判断NFT资产的价值,如艺术欣赏价值或流动性溢价。再者,也许您更喜欢绿色背景而不是红色背景,这受到了个人主观审美的影响。
基于Jaccard距离来计算一项NFT资产的群体性差异,帮助用户发现NFT的群体性综合差异,实际是更本质地量化了“稀有度”这一概念。您已可以在NFTGO上查看所有NFT的稀有度排名和稀有度评分,希望NFTGO稀有度评分能帮助您在购买或出售NFT时做出更合理的决策。
作者:NFTGO
标签:NFTRITTOOLRARI虚拟资产nftDoges Spirited Howling Castle Gameonekeytools官网FERRARI币
PanteraCapital合伙人PaulVeradittakit2021年12月3日发文介绍NEAR协议上的兼容以太坊的开发者平台Aurora.
1900/1/1 0:00:00前段时间斥资0.25个以太Mint了CityDAO发行的NFT,原因很简单,V神在最近关于加密城市的文章中推荐了这个项目。Emmm,紧跟V神步伐,结果一般不会错.
1900/1/1 0:00:00头条▌谷歌2021年度热搜榜:“狗狗币”及“以太坊价格”分别排名年度热搜新闻第4和10位12月8日,GoogleTrends发布了2021年度热搜榜,其中,在热搜新闻板块,“狗狗币”排名第四.
1900/1/1 0:00:00最终元宇宙带给我们的是社会关系的整合、多元的绿洲,还是一个个更加封闭的碎片,这不仅仅是一个技术的问题.
1900/1/1 0:00:00?12月9日,在美国众议院举行的加密货币听证会上,共和党众议员PatrickMcHenry表示,加密领域的技术「已经受到监管」,但现有的监管框架可能「笨拙」且「不是最新的」.
1900/1/1 0:00:00头条▌央行王信:继续实行稳健的货币政策11月27日消息,中国人民银行研究局局长王信强调,下一阶段,将根据国内外形势变化,密切关注欧美货币政策可能收紧的影响,继续实行稳健的货币政策.
1900/1/1 0:00:00