撰文:雷达熊,DODO创始人
一个有效的市场包含巨量信息,这些信息承载了市场对价格的判断。但是链上计算资源有限,要在链上实现一个高度灵活的市场,就好像要把大象塞进冰箱。
把大象塞冰箱这种事情并不罕见,互联网历史上已经有过几次壮举。例如图像压缩,音频压缩。
压缩的本质是提取最重要的特征,抛弃不重要的细节信息。
那么,一个市场最重要的特征是什么,是流动性。流动性可以表示为一张深度图。

从下图我们看到,深度图可以抽象为两个三角形,而描述这两个三角形,只需要中间价和斜率即可。

我们盯住右边的卖盘梯形深度,它的最大特点是,被买走的BaseToken越多,价格越高。因此,这种线性深度可以表示为
TokenBetter定期理财产品“USDT聚宝盆”五分钟内申购完毕:最新消息,TokenBetter“存币宝”业务推出的首期定期理财产品“USDT聚宝盆”于10月14日14:00开启申购,总额度50万USDT在上线后4分22秒即被用户抢售一空。
据悉,币存宝将于10月15日推出基于平台通证的活期理财产品“TB日日盈”。TokenBetter存币宝具备随存随取、每日结算利息、T+1赎回、年化收益高、安全性高等多个特点,用户将闲置资产转入存币宝,即每天享受收益。[2020/10/14]

其中i是第一个参数「midprice」,k是第二个参数「slope」。
B表示当前的BaseToken库存,B0表示初始BaseToken库存,(B0-B)/B0用来表示有百分之多少的BaseToken被消耗掉了。
这一公式可以使得价格随着BaseToken被卖出的数量线性增长。
但是,线性真的是描述流动性最好的方法吗?并不是,线性描述有两个局限:
真正的市场,大部分流动性集中市场中间价附近,而线性描述并没有反应这种不平衡的分布。
行情 | BTC五分钟内下跌1.11%:BTC五分钟内下跌1.11%,下跌金额为73.97美元,其中火币全球站上现价为$6589.01。已跌破6600美元。[2018/8/8]
即使价格远远偏离市场中间价,也应该有流动性,而线性描述下的价格是有上下限的。
我们为价格曲线引入了非线性。在不扩充参数的前提下,使深度分布更符合市场规律,灵活度更高。

最简单的非线性解决方案,就是使用乘法而非加法。

这个公式可以满足随着B的减小,P不断增大,直至无穷大。但是要怎么把斜率的影响加进去呢?
这就需要对B0/B这一项做改造了。B0/B≥1,我们用一个参数对其进行缩放,在保持此数值大于等于1的同时,可以控制它「大于1的程度」。
行情 | BTC五分钟下跌超1%:Bitfinex数据显示, BTC五分钟下跌超1%,现报价46381.69元,波动较大,请密切关注行情走势,做好风险控制。[2018/8/8]

上式中,k的取值范围是,决定了价格的斜率。
当k=0时,价格完全不变
当k=1时,价格斜率退化到上一个版本的公式
k越大,价格变化越敏感。k越小,价格变化越不敏感。
但是还有一个小问题,这里的P是边际价格,对边际价格的积分才是用户需要支付的资产数量。上式中,B0/B这项积分后出现了对数函数,这会使后续计算变得很复杂。为了避免这一麻烦,我们再进一步:

在B0/B外面加一个平方项,这样积分后就变成了一个简单的除法。
BTC五分钟内下跌1.02%:据火币Pro平台数据,截至目前,BTC五分钟内下跌1.02%,下跌金额为77美元,现价为7561.99美元。[2018/6/7]
令人惊叹的是,当k=1时,这条曲线正是AMM所定义的bondingcurve。这种巧合使我们相信,这是一套更加触及市场本质的算法。
同理,对于左半边的深度图,我们用对称的做法,将basetoken替换为quotetoken,将乘法替换为除法:

我们将左右两边的深度图结合起来,就得到了PMM算法的完全版本,整理一下:

PMM算法是对Orderbook市场的高度压缩,参数简单,却极度灵活。
这使得我们在冰箱如此狭小的空间内,拥有了堪比大象的能力。
华为云区块链服务正对外放,可五分钟快速上“链”华为云区块链服务:BCS(Blockchain Service)于3月30日正式对外开放,使用 BCS服务可以帮助企业快速搭建基于自身业务场景的区块链应用。
华为云区块链服务面向企业及开发者提供高性能、高可用、高安全的公有云区块链服务,帮助企业及开发者在华为云上快速、低成本的创建、部署和管理区块链应用,将企业从繁琐耗时的区块链基础开发和部署中解放出来,使其聚焦有价值的上层应用,快速开发自身业务场景,不再让技术限制自身业务的想象力和发展。
在产品定向邀测期间,BCS已成功助力多家企业完成现有应用的区块链改造,开放公测后,官网不再限制申请,开发者可以在华为云官网自行选择试用。[2018/4/3]
下面我来列举,通过调整参数和充提规则,这套算法可以实现哪些usecase。
UseCase1跟随外部市场价格的主动做市
这一usecase的应用场景是拥有巨大外部市场的主流币,例如ETHBTC等
PMM可以实现主动调整盘口价格,减少IL。获得比AMM更高的资金利用率,并且持有单币种就能提供流动性
设置如下:
将价格i设置为外部市场价格
将k设置为小于1的数字
允许任何人单边充提
这一UseCase我们称之为DODOClassicPool。
UseCase2轻资本需求的自动做市算法
这一usecase应用于没有主观定价能力的长尾币市场,将定价权完全交给taker
通常来讲,长尾币都是新资产,在AMM框架下没有足够的卖盘流动性,因而导致其流动性长期匮乏
设置如下:
将价格i设置成起始发行价
任意设置k
第一笔充值可以以任意资产比例,且不改变市场价
后续充值必须按照当前资产比例同时操作两种资产
这一UseCase我们称之为DODOVendingMachine。
UseCase3完全自由的做市算法
这一usecase为那些雄心勃勃,想要大展拳脚的做市商准备。
在此usecase下,资金池的全部资金都归做市商所有。所有参数都可以调整,做市商可以根据他的判断为资产灵活定价。同时做市商可以任意充提单一币种,而不影响市场价格。
例如:
在ETH=700USDT附近做市,使用很小的k获得非常有竞争力的流动性,并赚取大量手续费。当察觉到ETH有上涨预期时,撤出ETH库存以减少单边风险。但这一操作并不削弱买盘流动性。
新资产发行项目方只提供代币而不提供资金。在1$开始销售代币。为了让更多人以合理价格买到代币,设置了较小的k,使得代币上涨温和。随后项目方发现需要使用资金,则可以直接提出资金池中的资产,而不损害卖盘流动性,即用户仍然可以买到大量廉价代币。
设置如下:
只有做市商能充提,允许单币种操作
这一UseCase我们称之为DODOPrivatePool。
UseCase4流动性众筹
我们可以将新资产发行分为两阶段:
不开启现货交易,所有参与发售的人都以相同的价格获得代币
以上一阶段的结束价格开启现货交易,使用上一阶段剩余的代币和资产建立DODOVendingMachine
这一UseCase我们称之为CrowdPooling。
UseCase5退化为AMM
当满足以下条件时,PPM算法表现和AMM相同。
设置k=1
必须按照当前价格比例同时充提两种资产
这也意味着,AMM是PMM的一种特殊情况。推导过程如下:
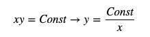
AMM的价格公式是xy=k,其中k是常数,x、y则分别代表两种代币的数量。为了避免字母上的歧义,我们把AMM公式中的恒定乘积定义为Const,并将其改写为y=Const/x。

其中y代表quotetoken库存,x代表basetoken库存,价格可以写为对y求导。

接下来回到k=1的PMM公式,我们可以将其写成:

我们发现,PMM价格公式的分子上为常数,分母为basetoken的库存。只要令

AMM的定价公式,与PMM的定价公式就一致了!
UseCase6稳定币交易
设置如下:
i=1
k=0.001
算法表现可以与curve相同,并且更灵活,可以比curve更接近刚性兑换,或更接近AMM。
来源:深潮TechFlow“弗吉尼亚州,弗吉尼亚州,最大ICO,EOS倒闭了,王八蛋老板BM带着他的小姨子和比特币跑路了……”当段子照进现实,总显得现实有些许荒诞.
1900/1/1 0:00:00金色财经区块链1月9日讯?据Ripple总法律顾问斯图尔特·阿尔德罗蒂透露,美国证券交易委员会已经承认瑞波币可以作为跨境支付的燃料.
1900/1/1 0:00:00谁能跑赢比特币?哔哔News刚刚17对于币圈而言,赚钱像呼吸一样简单的日子又回来了。比特币不断突破新高,从20000美元涨到35000美元用了不到1个月的时间;以太坊已经站稳在1100美元以上,
1900/1/1 0:00:00比特币是一段旅程,并非目的地,每个人都走在自己的道路上。每天早上,当我研究比特币时,我发现自己更具敬畏心,因为比特币非结构化的简洁性所具备的力量和潜力让我懂得谦逊.
1900/1/1 0:00:00昨天市场整体上还是以震荡为主,根据当前的位置,主要是震荡偏弱。昨天开盘后先行进行探底,首次探底位置是33700美元附近,随后便开始反弹,最高时反弹至36600美元上方,接近3000美元的反弹幅度.
1900/1/1 0:00:00北京时间1月7日,以太坊稳定币协议Maker的治理代币MKR迎来了爆发式增长,其价格在凌晨2点时飙升至1248.99美元,创两年多来的最高水平,截至发稿时.
1900/1/1 0:00:00