摘要:对比利率模型的优劣。
目前市场上存在多种基于资金池的DeFi贷款服务,每一种服务都提供不同的利率模型,以保持贷款人和借款人需求之间的平衡。
存款人从基于资金池的DeFi贷款服务中获得的利息与借款人创造的利息成正比。因此,对于储户来说,以尽可能高的利率借出尽可能多的代币的服务是最可取的。同时,从借款人的角度来看,以尽可能低的利率借款是有益的,因此在上述双方之间找到平衡是至关重要的。
这个过程中的主要因素是利用率。对于这些基于资金池的DeFi贷款服务,资金池是由贷款者存入的资金维持的,贷款者从资金池中取出贷款。利用率是贷出资金的一个指标(总借款),而代币的总可贷出金额(总存款+协议权益)则是另一个指标。
通常,高使用率表示用于贷款的资金池的百分比较高,因此,存款人的利率更高。相反,较低的利用率意味着更少的贷款,更低的利率。
这种决定利率的机制有两个主要目的:
基于Nostr协议的社交应用Primal完成100万美元融资:7月13日消息,基于Nostr协议的社交应用Primal完成100万美元融资,Ten31、Hivemind Ventures等参投,Primal的社交应用程序套件可以将类似推特的界面与开源Nostr协议相结合,并且优先考虑审查、帐户所有权和去中心化等功能,目前Primal已推出了Web端应用,后续将拓展移动端服务。[2023/7/13 10:51:44]
1、存款利率高
为存款提供高利率,提高存款的利用率势在必行。
如果贷款者和借款者的需求在当前的市场利率下得到满足,那么更高的利用率将为存款人带来更高的利率。这在系统中创建了一个健康的强化循环。然而,如果利率很低,那么提供给存款人的利率也会很低,从而降低了他们将资金留在系统中的动机。这将导致提现的增加,导致资金池不断减少。这最终导致系统的活动降低。
2、稳定的提款
RAHO将打造solana链上基于 Oracle 的 NFT 竞技游戏:据官方消息,Radio-Hero 目前在Pinksale即将上线,RAHO上Solana链上基于 Oracle 的 NFT 竞技游戏,Radio-Hero 包含Radio-Hero games、Metadata NFT 和Radio-Hero Metaverse对应了不同未来发展的分支。RAHO 采用DAO治理经济模型实现GameFi+DAO融合。[2022/1/11 8:41:30]
为了能够统一地响应取款请求,重要的是保持一定数量的资金可用来立即取款。如果系统无法处理所有的取款请求,则增加了发生银行挤兑的可能性。这将破坏系统的信誉,并导致用户流失。为了防止这一切发生,必须将利用率保持在一定的水平。如果利率接近100%,就必须通过迅速提高利率来鼓励收回借出的资金或增加存款,以确保资金池的流动性。
如你所见,利率模型在基于资金池的DeFi贷款服务中发挥着至关重要的作用。每一种服务都花费了大量的时间和精力来完善模型。
美国里诺市将基于Tezos创建Reno DAO,并推出著名艺术品NFT:美国内华达州里诺市市长Hillary Schieve和Reno DAO创建者Theodore Clapp在Tezos Commons的“Tez Talks”播客上宣布,Reno DAO将建在Tezos之上,目前正在设计项目的初期阶段。火人节“Space Whale”等著名艺术作品将转化为基于Tezos的NFT。此外还引入了“Reno Coin”,将被平等地发放给Reno DAO成员。(CryptoSlate)[2021/3/5 18:18:25]
以下是对各种DeFi贷款服务及其利息模型的深入分析。本文分析选择的DeFi项目包括:compound、Fulcrum、dYdX、DDEX和Divine。它们的利率模型主要分为三类:线性模型、多项式模型和指数模型。
线性模型
Compound和Fulcrum使用的是线性利率模型。
青海省基于区块链的共享储能交易已累计成交1172笔:8月4日消息,国家电网青海省电力公司充分应用“大云物移智链”建设智慧电网,在区块链技术应用、大数据价值挖掘等方面走在前列。截至目前,基于区块链的共享储能交易累计成交1172笔,增发电量2624万千瓦时,创造直接经济效益2100余万元。(青海日报)[2020/8/4]

线性利率模型(Compound和Fulcrum)

现场 | 中国银行前行长李礼辉:基于区块链技术的业务平台可提高参与度和安全性:金色财经现场报道,在今日举办的金融界2018夏季达沃斯之夜+区块链思享会上,中国银行前行长、国家互联网金融协会区块链研究工作组组长李礼辉提到,现行的金融业信息技术系统构建在大数据中心和移动互联网络的基础上,属于平面交互结构,多年的运行实践证明了中心化系统的高效率和高可靠性。但它存在两个短板,基于中心化架构的跨系统跨平台流程难以优化;移动互联网络任何节点的安全缺陷和管理疏漏,都可能削弱整个系统的可靠性,影响客户资产和数据的安全保护。
时代呼唤更高效率、更公平的金融服务,新的生产力比如大数据、区块链等新技术正在重构金融服务模式,形成一个新趋势:以信任链接为纽带的折叠和以流程再造为纽带的协同。
李礼辉认为,基于区块链技术的资产托管、联合贷款、供应链金融等业务平台,可达成不同参与方归并校验、实时共管,同时达成可靠性、安全性标准。[2018/9/17]
随着利用率从0%上升到100%,Compound的利率保持在之间,Fulcrum的利率保持在之间。
1、在目前市场利率(DAI为12.5%)下,Compound在50%的利用率下达到平衡,而Fulcrum是在61.3%,Compound<Fulcrum。
2、在90%利用率下,Compound斜率为0.15,Fulcrum斜率为8.2125(x=0.9+时的导数),Compound<Fulcrum、
我们假设提取资金池的配置为10%,因此选择了90%的利用率进行比较。
对于Compound等简单的线性模型,必须选择较低的坡度才能获得较高的利用率。当利用率较高时,与其他模型相比,降低利用率以达到稳定的压力较低,且该模型存在较大的银行挤兑风险。然而,Fulcrum引入了另一个具有一定值的线性模型,从而降低了该模型所具有的风险。
多项式模型
dYdX和DDEX是使用多项式模型计算利率的服务。

利率多项式模型(dYdX,DDEX)

随着利用率从0%上升到100%,dYdX的利率保持在,DDEX的利率保持在之间。
1、在当前市场利率下,dYdX达到均衡的利用率为75.5%,DDEX为49.1%。(dYdX<DDEX)
2、在90%利用率下,dYdX斜率为1.55,DDEX斜率为3.08(x=0.9+时的导数)(dYdX<DDEX)
多项式模型的利率随着利用率接近100%而急剧上升。与线性模型相比,多项式模型能更好地实现资金的稳定性,便于提取资金。
指数模型
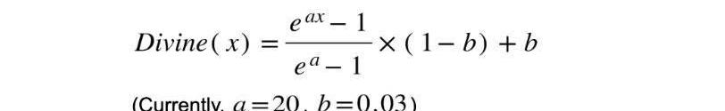
最后,Divine是一个使用利率指数模型的服务。(目前由Trinito使用)

利率指数模型(Divine)

随着利用率从0%上升到100%,Divine的利率保持在之间。最小利率通过值b设定,斜率由值a确定。
1、在目前市场利率下,Divine达到均衡的利用率为88.4%。
2、在90%的利用率下,Divine的斜率为2.63。(x=0.9+的导数)
指数模型与多项式模型相似,可以在利用率较高时迅速提高利率,增加资金实现流动性的动力。同样,从上图中可以看出,曲率系数高(a=20),在一定的利用率(70%)以下,可以提供一个相当固定的利率。这是一个很大的优势,因为该系统可以在不进行额外干预的情况下提供流动性和利率的稳定,本质上解决了大多数基于池的DeFi贷款服务固有的风险。
正如您所看到的,每个DeFi贷款服务都有一个适合其服务的不同利率模型。因此,很难说哪一个是完美的。这些都在经受市场的检验,完善利益模型机制、提高效益的工作还将继续。
作者:DivineProtocol
编译:共享财经Neo
经济学家阿尔钦说过,经济学其实不关心人是否理性,而关心人是否可以存活。进一步说,其实是关心存活的条件。这句话给我的感触很深.
1900/1/1 0:00:00前言:本文作者认为比特币是一种对国家和社会都有重大影响的货币实验。比特币会带来什么样的影响?相信大家都有自己的看法.
1900/1/1 0:00:009月16日下午,币印矿池BTC币种实时算力在miningpoolstats网站上升至全球矿池算力排行第一,算力为13.38E.
1900/1/1 0:00:00文章来源:新浪财经原文标题:《邵宇:如果Libra成功它将创造一个终极的企业帝国》9月20日至22日在浙江省德清县莫干山,举办第十届新莫干山会议暨纪念莫干山会议35周年研讨会.
1900/1/1 0:00:00据路透社报道,欧洲中央银行的BenoitCoeure对Libra等“稳定币”的风险提出了警告。 作为欧洲央行的董事会成员,Coeure在巴塞尔国际清算银行的活动中告诉来自全球的央行官员,这些新的.
1900/1/1 0:00:00成功的投机者必须学习三点:入场时机——什么时候入场,就像是利弗莫尔的密友、棕榈滩老板艾德·布拉德利经常说的:“什么时候持有,什么时候收手.
1900/1/1 0:00:00