作者介绍:
0xmc@0xreviews:机制审计、产品设计、密码经济学独立研究员。
0xjezex@0xreviews:代币经济学独立研究员,初级Solidity工程师,伦敦帝国理工学院金融科技硕士生。
0xstan@0xreviews:独立开发者,DappLearning核心贡献者。
paco@perp.com:Solidity开发者、安全研究员、DeFi爱好者。
前言
Curve稳定币最难的部分是LLAMMA。LLAMMA参考了Uniswapv3中的一些原则。但是,白皮书中的价格与Uniswapv3白皮书中的算法不同。我们将统一这两个项目,并尝试了解CurveCEO是如何设计这个演算法。
用Uniswapv3作为参考
本文中价格的定义与Uniswapv3互为倒数。因此,我们修改了Uniswapv3白皮书中的公式,让它与本文保持一致。简而言之,LLAMMA试图让Uniswapv3中的一切都变得动态,以便为crvUSD债务人和清算人提供更适当的价格。
恒定乘积公式(ConstantProductFomula)比较
Uniswapv3白皮书中的公式(2.2):


图一:Uniswapv3虚拟流动模拟
Curve稳定币白皮书中的公式(1):
Lens Protocol完成1500万美元融资:6月8日消息,去中心化社交协议Lens Protocol完成1500万美元融资, IDEO CoLab Ventures领投,Tencent、General Catalyst、Varian和Blockchain Capital等风险投资公司以及Flamingo DAO、DAOJones、Punk DAO、DAO5和Global Coin Research等DAO参投,新资金将用于帮助扩展该协议的生态系统。
Lens Protocol由Web3技术公司Aave构建,Aave今已筹集了4900万美元。[2023/6/8 21:24:29]


图二:有外部价格来源的AMM
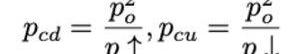
在这裡Pcd代表Pcurrent_down,Pcu代表Pcurrent_up
而对应关係为:

对应的恒定乘积公式为:

Ordinals域名项目BTCDomain宣布基于Bitcoin链上网站及域名已上线:4月26日消息,Ordinals域名项目BTCDomain宣布首个完全基于Bitcoin的链上网站及域名已上线,此外,近日还将对部分域名持有者开放内测。[2023/4/26 14:28:54]
而在这之间:

流动性计算公式对应
Uniswapv3白皮书中的公式(6.7):

由于它们的价格定义之间存在倒数关係,对应的公式为:

此公式的一个具体应用是:

平方展开可以得到:
基于Solana的游戏平台Arcade2Earn完成320万美元融资:金色财经报道,基于Solana的游戏平台 Arcade2Earn在 Crypto.com Capital 领投的种子轮融资中筹集了 320 万美元。其他投资者包括Solana Ventures、Shima Capital、KuCoin Labs 和 GSR。
Arcade 联合创始人 Jaleel Menifee表示,这笔资金是通过一项简单的未来代币协议 (SAFT)实现的,该公司的实用代币被称为街机。[2022/10/20 16:30:36]

从上面的公式我们很容易的可以了解,当y0保持不变,Pcd和Pcu数值越接近,相对应的流动性I则越大。
换句话说:

流动性不可能是无限的,在UniswapV3中对应最小的tick会限制L的大小。
由此可以推断在LLAMMA中,我们还需要定义一个指标来衡量价格之间的最小差异,来继续Uniswapv3和Curve的类推。
对应最小差价

TAC已经完成Web3.0T钱包3.0版本升级:据官方消息,MetaThaicoin(TAC)早在2021年12月已经完成自主研发Web3.0钱包,刚刚宣布已经完成Web3.0钱包的3.0升级,将会在8月4日推出,可在Google Play上下载使用,8月14日可在Apple Store上下载使用。
据悉,TAC致力于打造元宇宙生态,T钱包就是在TAC的元宇宙中的入口。TAC生态的所有应用“INSURANCE,NFT,GAME,DAO,DEFI,ENS,SWAP,DEX”都可以通过钱包一键登入。[2022/8/1 2:51:32]
从A的定义中可以看出?,当p↓和p↑越接近时,A则越大,流动性集中度越高:

Uniswapv3中,只有能被tickSpacing整除的tick才能被预设。因此,tickSpacing决定了LP分配流动性的最低价格范围。tickSpacing越小,价格范围越窄、越精确。在Uniswapv3中,不同的费用等级决定了不同的tickSpacing。
然而,crvUSDLLAMMA不需要那麽多tickSpacing。由于LLAMMA仅有ETH-crvUSD,因此只需要让每一个tickSpacing=100basepoint。?
来自Uniswapv3的公式(6.1):

在LLAMMA中,A=100,来自Curve稳定币白皮书的公式(11):

CryptoPunks地板价两个月后首次反弹至10万美元上方:7月19日消息,过去两个月蓝筹NFT因为加密市场动荡而遭受打击,地板价出现较大幅度的下跌,但Crypto Punks却是例外。据NFT Price Floor数据显示,Crypto Punks地板价已升至84.85ETH,约合113,500美元,自5月18日以来首次升至10万美元上方。以美元计算,Crypto Punks地板价过去一周上涨了31%;以ETH计算,Crypto Punks地板价过去一周上涨了12%,较上月环比增长27%。另据NFTGo.io数据显示,当前Crypto Punks交易总额已达28.8亿美元,市值约为24.6亿美元。(decrypt)[2022/7/19 2:22:21]
设置n=-i,A=100,我们会得到:

设计Pcd和Pcu
我们希望LLAMMA具有以下属性:当ETH价格上涨时,矿池购买ETH。当ETH下跌时,矿池出售ETH。在这样的机制下,我们把Pcd和Pcu定义为Po的函数并且比线性函数更陡峭,因此它们的增长率会比Po更快。同时从图中可以看出两条曲线Pcu和Pcd分别通过两点(P↓,P↓)和(P↑,P↑)。满足以上要求的Pcd和Pcu其实有很多曲线。通用公式为:

当m<n
让我们从最简单的例子开始:

把Pcu和Pcd带入I的平方展开:

然后f2可以计算为:

不难发现f2在这种假设下很难理解和计算。如果Pcu和Pcd是?Po的三次函数:

把Pcu和Pcd带入I的平方展开:

重新计算f2:

可以看出,当?Pcu和Pcd是Po的三次函数,整个数学形式就简单多了。去掉了平方根项,计算方便多了。如果接受更高的订单,则AMM的价格和Po将相差很大,因此购买ETH的成本会更高,而导致更大的清算损失。总之,把Pcu和Pcd定义为Po的三次函数是一个更好的选择。
其他参数的推导
Pcu和Pcd是关于Po的三次函数,取特别数值Po=P↑,不难得到Y=Y0和X=0,于是:

鉴于I的公式,我们可以计算f和g:

在这边,我们最终得到完整的恒定乘积公式:

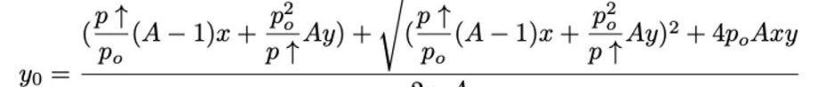
将上方公式转化为Y0二次方程式:

用一个未知数的二次方程求解Y0:

如果价格变动的够慢让预言机价格Po完全有能力遵循它,给定X和Y,使用Uniswapv3的计算公式,是有可能计算出ETH的Y↑是多少或美元的X↓最终将处于的区间内:

参考出处:Adams,Hayden,etal."Uniswapv3core."Tech.rep.,Uniswap,Tech.Rep,2021fromhttps://uniswap.org/whitepaper-v3.pdfEgorov,Michael,andCurveFinance.Curvestablecoindesign.Technicalreport,CurveFinance,Tech.Rep,2022fromhttps://github.com/curvefi/curve-stablecoin/blob/master/doc/curve-stablecoin.pdf
自从代币在2017年ICO时代开始流行以来,我们经历了多种叙事和用例的循环,从使用代币筹款,到授权社区治理,一直到发布产品的新方式.
1900/1/1 0:00:00本文总结了在zk领域中的100家公司的市场地图,这些公司正在帮助推动这项新技术的发展,这些zk技术的类别和用例都还处于初期阶段.
1900/1/1 0:00:00进入2023年,加密寒冬迎来了回暖:比特币上破2万美元大关,以太坊也逐渐站稳了1500美元的台阶,带领着加密市场整体上行.
1900/1/1 0:00:00$UNI因其作为“无意义的治理代币”的代表而广受批评。实际上,此事远远不是打开分成开关,然后将收入用于分配或者回购这么简单.
1900/1/1 0:00:00拜登政府正悄悄地试图禁止加密货币。NicCarter在PirateWires的一篇爆炸性的客座文章中解释道.
1900/1/1 0:00:00随着2023年开春,各省政府相继发布当地对应的年度工作报告,1月28日,江苏省发布《2023年江苏省政府工作报告》,其中指出将深入实施数字经济核心产业加速行动计划,积极发展元宇宙等未来产业.
1900/1/1 0:00:00