引言
VerkleTree作为ETH2.0升级的一个重要部分,其相比于MerkleTree,在Proof的大小上,有着很大的提升;对于规模在十亿级别的数据,MerkleTree的proof大约需要1kB,而对于VerkleTree,它将小于150Bytes。
VerkleTree的概念在2018年推出,具体的可以参考论文VerkleTree;本文将主要介绍VerkleTree的原理。
MerkleTree?
MerkleTree是一种常见的Accumulator,它可以用来证明某个元素存在于Accumulator中,如下图所示:

如果想要证明=(06:32)在这个Tree中,那图中所有红色标记的node都需要包含在Proof中,然后verifier根据图中所示的路径计算出Root,并和期望的Root进行比较。
Powerledger与越南电力公司EVNCPC合作推出区块链点对点能源交易项目:3月29日消息,澳大利亚能源交易技术公司Powerledger周二宣布,将与越南Electricity Central Power Corporation(EVNCPC)合作,在澳大利亚-越南能源转型论坛上推出越南首个点对点(P2P)能源交易项目。
在最初6个月的试点中,Powerledger的技术将用于“prosumers”,在越南?à N?ng和Qu?ng Nam省使用屋顶太阳能,直接向消费者出售电力。
Powerledger表示,该试点有望通过建立当地能源市场(LEM)来展示如何使用技术来降低能源成本,提高价格透明度。这种方法将减少能源网的压力,减少弃电和维护工作,并增加网络的弹性。(Vietnam News)[2023/3/29 13:33:08]

知情人士:Coinbase曾在硅谷银行破产后向Circle提供30亿美元即时信贷额度:金色财经报道,Coinbase曾在SVB破产后向Circle提供了约30亿美元的即时信贷额度,以保证USDC储备的全部流动性,并确保稳定币可以在SVB破产后的周一早上兑换成美元。Coinbase原计划披露这一信贷额度,但随后危机很快解除。Circle拒绝对此事置评,但也并未否认。
此前报道,Circle宣布在硅谷银行中有33亿美元存款,尽管只占其400亿美元总资产的小部分,但由于恐慌情绪,USDC一度脱锚至0.9美元以下。(《财富》杂志)[2023/3/21 13:16:11]
VerkleTrees-concept


Camelot对OnChainTrade指责其炒作作出澄清,并取消Onchain Trade的IFO:2月23日消息,Camelot发推称决定取消在Launchpad上启动OnChain Trade,并澄清之前有关Launchpad炒作事件:1)销售模式并不是传闻所说的那样,而是可以根据项目的要求(hardcap、cap/wallet 等)按需自由调整。2)从一开始,我们就对OCT本次筹款活动收取2%的费用,由于希望支持生态系统并促进协议从zksync过渡,因此该设置远低于市场价。3)在提出销售模式后,OCT团队也在多个场合确认理解不能与其他平台合作同时启动IFO。
此前消息,Onchain Trade披露,Camelot Launchpad存在严重炒作问题,且众多项目尚未发布产品。[2023/2/23 12:23:36]

全链借贷协议Radiant V2将于2月21日启动与迁移,并部署在BNB Chain上:2月15日消息,全链借贷协议Radiant Capital在社交平台表示,协议代码正在接受zokyo和派盾的最终审计。V2预计将于2月21日在Arbitrum上正式启动并迁移,还将部署在BNB Chain上。[2023/2/15 12:07:58]


Basis
KZGforsinglepoint
荷兰印刷公司Royal Joh.Enschedé与PROxID和Concordium达成合作:金色财经报道,荷兰印刷公司Royal Joh.Enschedé与PROxID和Concordium链合作,将安全印刷产品、NFTs和元宇宙连接起来。
荷兰软件开发商PROxID正在使用瑞士协和基金会(Concordium)的集成ID框架,在第1层区块链上构建一个NFT平台。Concordium公司基于区块链的ID框架保证了最大程度的隐私,同时允许交易被监控,并确保每一笔交易都能立即、高效、低成本地发生,并在节能软件中进行。(prnewswire)[2022/9/8 13:17:07]

因为s是有限域F上随机选取的?个点,因此,prover作恶成功的概率为degree(Q)/P。
KZGformulti-points

VerkleTree-ETH

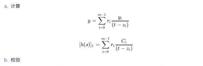
Compressformulti-polys

很明显,我们并不想让Verifier执行这么多次的配对操作。因此,我们需要进行一次Compress,具体如下:



Keypropertie

参考?
1.PCSmultiproofsusingrandomevaluation-Dankrad?Feist:?
https://dankradfeist.de/ethereum/2021/06/18/pcs-multiproofs.html
2.?Verkletrees-vitalik:https://vitalik.ca/general/2021/06/18/verkle.html??
3.?VerkleTreespaper:?
https://math.mit.edu/research/highschool/primes/materials/2018/Kuszmaul.pdf?
4.?Vectorcommitment:https://eprint.iacr.org/2011/495.pdf
5.?Lagrangeinterpolation:https://en.wikipedia.org/wiki/Lagrange_polynomial?
6.?KZG10:https://dankradfeist.de/ethereum/2020/06/16/kate-polynomial-commitments.html
7.?IPA:https://twitter.com/VitalikButerin/status/1371844878968176647
8.?Schwartz–Zippellemma:https://en.wikipedia.org/wiki/Schwartz%E2%80%93Zippel_lemma
关于我们
Sin7y成立于2021年,由顶尖的区块链开发者和密码学工程师组成。我们既是项目孵化器也是区块链技术研究团队,探索EVM、Layer2、跨链、隐私计算、自主支付解决方案等最重要和最前沿的技术。
微信公众号:Sin7y
GitHub:Sin7y
Twitter:@Sin7y_Labs
Medium:Sin7y
Mirror:Sin7y
HackMD:Sin7y
HackerNoon:Sin7y
Email:contact@sin7y.org
来源:金色财经
周二,现货黄金亚盘挑战1680美元关口失败后大幅下行,并一度跌破1660美元大关,较高点一度跌约20美元,最终收跌0.66%,报1664.94美元/盎司;现货白银随黄金下行,最终收跌1.55%.
1900/1/1 0:00:00撰文:SonyaHuang和PatGrady编译:深思圈AIGC是最近一个热门的话题,伴随着大量应用的落地,AI生成图片、文字、音频甚至视频等内容也渐渐走入了人们的日常.
1900/1/1 0:00:00市场消息Coinglass数据显示,过去24小时,共有9.1万人爆仓,爆仓总金额为3.25亿美元.
1900/1/1 0:00:00我的目标是在最基本的层面上描述加密货币生态系统的健康状况。例如,量化活跃钱包的数量,活跃开发者的人口,以及生态系统内的其他动态.
1900/1/1 0:00:00高盛发出的一系列宏观警告使比特币面临崩盘至1.2万美元的风险。以JanHetzius为首的高盛经济学家团队对美联储基准利率的加息速度做出了预测.
1900/1/1 0:00:00向阳的花,努力生长,总会绽放,心有所爱,有所期待,剩下的就是努力扎根努力生长,静待花开。无人为我们鼓掌的时候,给自己一个鼓励,在无人为我们拭泪的时候,给自己一些安慰,在我们自惭形秽的时候,给自己.
1900/1/1 0:00:00