编者按:本文来自加密谷Live,作者:AlexKoma,翻译:Sherrie,Odaily星球日报经授权转载。

在特别介绍项目的最后材料,我将介绍给读者的基本原则的风险管理时,交易加密货币,以及教如何正确计算仓位。风险类型
任何金融交易都存在风险,而风险的种类繁多。例如:市场风险——资产价值发生不利变化的风险;信用风险——加密货币发行者破产或未能履行支付义务的风险;流动性风险——无法以最佳价格将全部头寸转换为受托货币的风险;操作风险——无法执行交易操作或存入/提取资产的风险。这些风险和许多其他风险影响金融市场和个人参与者的运作和稳定。当金融机构或公司违约,金融资产交易或经营活动造成损失,这将对相应资产的价格产生负面影响。这种情况通常违背利益相关者的利益。根据此类事件的复杂性和数量,这可能导致系统崩溃并引发金融危机。1995年,我们就看到过这样一个风险管理不善的例子。当时,历史最悠久的银行之一巴林银行(Barings),由于一名交易员对日经衍生品进行投机,进行了一系列交易而破产。根据交易员NickLeeson的回忆录,1999年拍摄了一部引人注目的电影《RogueTrader》。美国投资银行雷曼兄弟的破产也经常被认为是本世纪头十年末期全球金融危机的起点。关于无效的风险管理所造成的严重而深远的后果,类似的例子还有很多。然而,让我们回到风险的分类上来。下面我们将狭义地考虑财务风险,即投资风险。这种风险是由于金融交易而造成损失或损失利润的可能性。值得强调的是,如果我们不能以任何方式影响系统风险,那么在处理加密资产时,投资风险可以也应该考虑在内。事实上,在不同的经济领域,对风险的分类、核算和管理方式存在着巨大的差异。例如,在银行监管领域,包括风险管理在内最完整的监管文件叫做《巴塞尔协议III》。随着时间的推移,类似的指导方针可能会为密码行业制定出来。投资风险管理的基本原则
Coinbase Wallet推出交易模拟功能,可了解智能合约代码如何处理加密资产:金色财经报道,据 Coinbase Wallet 社交媒体账户透露,Coinbase Wallet 已推出交易模拟功能,通过自动模拟兼容 EMV 网络上授权交易时将执行的代码,用户可以了解哪些资产将离开自己的钱包,以及收回相关资产的近似估值。Coinbase 表示,该功能的主要目的是让用户清楚地了解区块链应用程序或智能合约将如何处理他们的加密资产。[2022/11/21 7:52:42]
市场参与者应该做的第一件事,无论他是在投资还是投机,都是配置这样一笔钱,让他可以心平气和地面对损失。从心理上讲,这个数字相当于月收入的10%。如果你打算继续专业从事这类活动,那么在任何情况下都不要用从亲戚、朋友或银行借来的钱进行交易。在这种情况下,融资融券交易应极其谨慎,因为提取潜在的高利润与巨大的风险相关联。这里我们得出了一个基本的、有逻辑的原则:风险↑利润风险和回报是直接相关的。换句话说,增加的风险应该带来相应的回报,反之亦然。从这个简单的原则中得出的结论也相当明显:如果我们为了获得同样甚至更少的收益而过度冒险,那么就应该放弃这种投资。下一个原则是投资多样化,这在风险管理中非常普遍。这是关于建立平衡投资组合的技巧。然而,在其成立之前,多元化应从降低经营风险开始。在几个交易平台之间分配可用资金将减少因黑客攻击或关闭其中一个平台而可能造成的损失。在交易中,这表现为对开仓头寸的正确计算,也与一般的资金管理模式(资金管理)密切相关。对于许多新手来说,一个极端的例子和一个典型的错误是在一笔交易/头寸上冒100%的资本风险。不要把所有的鸡蛋放在一个篮子里——这句话完美地描述了这种情况。在这两种情况下,都归结为确定每个操作的最大可承受风险。A.Elder的2%和6%规则,限制每个会话的风险
直播|清水 > 交易所新秀WEX,如何凭借IVO突出重围:金色财经 · 直播主办的《 币圈 “后浪” 仙女直播周》第13期15:00准时开始,本期“后浪”仙女WEX的CMO 清水将在直播间聊聊“交易所新秀WEX,如何凭借IVO突出重围”,请扫码移步收听![2020/8/21]
风险管理的标准、基本准则可以在许多交易账簿中找到。AlexanderElder在他的著作中描述了一种相当流行的风险管理方法。它可以而且应该在最初阶段应用,直到它自己的确定交易风险的系统形成为止。贸易中的“鲨鱼”和2%法则。上述错误对于初学者来说有可能损失100%资金的风险是有变化的——投资者的风险在存款的30-50%或更多的时刻。Elder把这种情况称为“被鲨鱼吃掉的风险”,因为几次大的损失,资本可以被归零。为了防范这种风险,一个头寸的规模不应超过可用资金的2%。这就是“百分之二原则”。“食人鱼”的交易和6%的规则。有时候,一个交易者,由于这样或那样的原因(更多的是心理上的原因),无法阻止一系列无利可图的交易,这就好比一群捕食的食人鱼,一块一块地抓住猎物。如果这样的交易很多,那么资金就会处于高风险区域。6%的规则限制了交易时刻使用资金的最大份额。换句话说,它设置了每个会话的最大允许风险。如果资本损失超过6%,你需要停止交易一段时间(Elder建议1-2周)。第一,分析情况,第二,避免心理错误。因此,Elder建议每次开仓不超过三笔交易,每笔交易限制在资本的2%以内。当然,这些规则可以随着时间的推移而修改,以适应你的交易策略,改变百分比和花在分析上的时间,但建议保持基本概念的原始形式。正确的仓位计算
大咖零距离 | 合约交易秘籍 如何穿越牛熊市:3月27日19:00,金色盘面邀请资深金融从业者,有超20年投资交易经验的丁一老师做客金色财经《大咖零距离》直播间,将分享《合约交易秘籍 如何穿越牛熊市》,敬请关注,欲进群观看直播扫描海报二维码报名即可![2020/3/27]
有必要制定一个规则,把每件事都当作百分比来计算。风险可以被描述为不利结果的可能性。此外,风险被理解为可能的经济损失水平。因此,风险是一个二维的数量,它表征了损失的概率和数量(来自总资本),所有这些值都用百分比表示。在计算时,考虑加密交换的各种费用是非常重要的。它们可以是:资金的转移、存取;开启一个仓位(和关闭另一个仓位);杠杆的使用等。杠杆率及其对风险的影响
加密货币交换大致可以分为以下几种类型:

交易是通过加密货币期货进行的。只推荐给有经验的交易员,知道如何管理资金和风险。这里重要的一点是,杠杆增加了持仓规模,但也增加了同样数量的风险。例如,在100的杠杆作用下,从开盘价向相反方向移动1%将导致100%的损失和追加保证金通知(事实上,由于佣金和交易机制的原因,甚至更早)。仓位控制
动态 | 美国国防部将向国会提交“区块链技术如何增强美军工作”相关报告:今年晚些时候,美国国防部(DoD)将向国会提交报告,介绍区块链技术如何增强美军工作。价值技术协会(VTA)主席Jason Brett上周在拉斯维加斯举行的消费电子展(CES)上接采访时说,VTA将牵头要求国防部组织这样一个听证会。(Coindesk)[2020/1/16]
为了管理头寸,你需要使用止损(SL)和获利(TP)等待订单。我们来介绍一下这个值:

其中:C——损益比率;A——触发TP指令时的利润;B——当SL订单被触发时丢失。在有关交易的文献中,经常建议使用交易策略和切入点,其计算值为C从2到3。换句话说,从交易中获得的潜在利润应该是可能损失的几倍。一些交易者在交易中不使用SL,而倾向于“袖手旁观”。这使得风险控制变得复杂(下跌可能会继续)。在保证金交易中尤其如此。我们强烈鼓励所有新手在杠杆交易中使用SL。下表说明了在不同损失数额的情况下,保持收支平衡所需的资本利得百分比:
声音 | 阿里云研究中心战略总监:需思考如何让数据更充分 有效有序的流动起来:据腾讯科技报道,在人民网举办块链技术秋季论坛上,在谈及区块链与治理结构的关系时,阿里云研究中心战略总监杨军表示,从农业时代走来,如今更多人的精力是放在如何用数据提升大家的服务体验。在未来的数字经济时代,需要思考如何让数据更充分、更有效有序的流动起来,这又涉及到数据确权、数据隐私等方面。[2018/10/23]

从表中的数据可以看出,头寸规模管理起着关键的作用,交易者亏损越多,就越难收回原来的交易资金。例如,一笔1000美元的存款在一系列交易亏损后变成了100美元。现在,为了收回最初的资金,交易员需要将100美元的金额增加900%。如果没有适当的风险管理,股票交易所的交易就会变成的游戏。用Kelly公式计算仓位
许多投资者使用Kelly公式来管理风险。它的作用是确定可用于交易的资本的最大允许百分比。资本占比的计算公式如下:

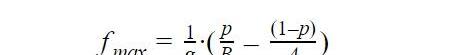
其中:x——经营/交易的金额;K——是可用资本的数量。Kelly公式定义了f的极限值:

其中:P——是交易策略取得积极结果的概率;A——触发TP指令时的利润;B——触发SL订单时的损失;g——使用的杠杆(等于1,如果没有使用杠杆)。不建议使用最大fmax值计算方杠杆公式。降低评估风险的最佳范围:

在这个阶段,还有一个与不正确的概率定义相关的额外风险。使用概率
有几种不同的方法来确定一个积极的投资结果的概率:如果预测源是外部的,则可以将成功信号的平均百分比作为参考点。然而,应该记住,例如,无数组/聊天即时信使(主要是电报)可能扭曲真实的统计数据;如果一个交易员/投资者独立地应用一个交易策略,保持交易记录,并有可靠和完整的统计数据(或有能力在历史上测试他的策略),那么:

其中:p——交易策略取得积极结果的可能性/积极交易的转换;M——盈利行业的数量;N——策略的总交易数量。你需要明白,在任何情况下,来自交易日志(报表)的数据都不会给出一个静态的结果——总是会有错误和分散的值。在处理历史数据时,总会有市场状况变化的风险,这会导致未来策略的有效性下降。结论
正如我们在特别项目开始时所说,任何金融交易都是有风险的。投资者的主要任务不是完全放弃风险,而是选择一种解决方案——在多大程度上承担这种风险是合理的。在任何类型的投资中,能够提前和正确地识别风险是必要的。换句话说,你应该明白我们指望的潜在利润是什么,我们准备接受的损失是什么。此外,如果没有系统性交易,上述所有建议都不会给出一个结果,系统性交易意味着会计、计算和分析所有未平仓头寸。一个真正成功的交易者不是赚了几百万的人,而是在市场上不亏不输的人。
标签:ELDCOICOINOINHighest Yield Savings ServiceBizzCoinELA CoinOuro Stablecoin
编者按:本文来自区块律动BlockBeats,Odaily星球日报经授权转载。加密数据网站DuneAnalytics在12月4日发布的一份报告显示,去中心化金融生态系统中拥有唯一以太坊地址的参与.
1900/1/1 0:00:00编者按:本文来自巴比特资讯,编译:Kyle,星球日报经授权发布。近日,Messari创始人RyanSelkis发布了长达134页的《2021年加密投资理论报告》.
1900/1/1 0:00:0012月5日,苏州市人民政府联合中国人民银行开展的数字人民币红包试点工作正式启动预约。该试点结合「双十二苏州购物节」,通过预约抽签的方式,面向所有符合条件的苏州市民发放总计2000万元的数字人民币.
1900/1/1 0:00:00编者按:本文来自加密谷Live,作者:MitshellNicholson,翻译:Olivia,Odaily星球日报经授权转载。本文仅代表我个人观点,不构成理财建议.
1900/1/1 0:00:00编者按:本文来自WebX实验室Daily,Odaily星球日报经授权转载。自2019年开始,PoS和其背后的StakingEconomy逐渐进入主流视野,鲜少再有人提及经典的PoW.
1900/1/1 0:00:00前面发了很多关于以太坊2.0的文章,却一直没有讲它的共识机制——PoS,为了帮助大家更好地了解它的运作模型,今天关于共识机制文章为大家简单地讲解目前主要的证明机制模型.
1900/1/1 0:00:00